Clinical pharmacology and pharmacokinetics: questions and answers

The questions and answers (Q&As) on this page provide an overview of the European Medicines Agency's (EMA) position on specific issues related to clinical pharmacology and pharmacokinetics.
HumanRegulatory and procedural guidanceResearch and developmentScientific guidelines

Users should read the Q&As in conjunction with the relevant scientific guidelines.

The Committee for Medicinal Products for Human Use (CHMP) may seek the input of the Methodology Working Party (MWP) to address specific questions in relation to clinical pharmacology and pharmacokinetics. This input may contain general guidance or clarify specific aspects of scientific guidelines and product-specific bioequivalence guidance.

The date after each question refers to when it was first published. Several Q&As refer to the PKWP (Pharmacokinetics Working Party), whose activities have been taken over in 2022 by the MWP.

1. Pharmacokinetics

Absolute bioavailability

Information on absolute bioavailability is important in the overall evaluation of the pharmacokinetics of the drug substance. For some new chemical entities information on absolute bioavailability facilitates the evaluation of the mass balance study, and enables conclusions regarding the contribution of different elimination routes to drug clearance.

This information is important when determining the need for studies in subjects with renal and hepatic impairment as well as the need for drug-drug interaction studies at biliary excretion level. The information is also useful when predicting the consequences of pre-systemic drug-drug interactions, both at absorption and metabolism level.

Therefore, for new active substances intended for systemic action, the absolute bioavailability should, if possible, be determined by comparing the bioavailability of the intended pharmaceutical form for an extra-vascular route of administration with an intravenous administration. For substances with non-linear pharmacokinetics, consideration should be given to the dose(s) used for evaluation of absolute bioavailability. Furthermore, data on absolute bioavailability is valuable in the evaluation of BCS based biowaivers (see Guideline on the investigation of bioequivalence, CPMP/EWP/QWP/1401/98 Rev. 1).

Relative bioavailability

It is recommended to obtain information on the relative bioavailability of different dosage forms (or formulations) used during drug development. By definition relative bioavailability is the comparison of different dosage forms (or different formulations thereof) administered by the same or a different non-intravenous route (e.g. tablets vs. oral solution).

Regarding formulation changes during drug development, unless BCS based biowaiver is applicable bioequivalence studies are needed if there has been a change between the formulation used in phase III and the final marketing formulation which may affect rate or extent of absorption. Relative bioavailability studies (or comparative bioavailability studies) are recommended between different formulations used during phase I, II and III. There is no requirement for demonstration of bioequivalence between phase II and phase III formulations. It is assumed that any difference in rate or extent of absorption between these formulations is taken into account in the design of the phase III studies.

The clinical relevance of any differences in exposure between formulations used in phase I, II and III studies should be discussed in applications for NCEs in Module 2.5 and 2.7.1 and taken into account in the assessment of pharmacokinetic data in Module 2.7.2.

A suprabioavailable product displays appreciably larger extent of absorption than an approved reference medicinal product.

If suprabioavailability is found, the development of a lower dosage strength should be considered. In this case, the biopharmaceutical development should be reported and a final comparative bioavailability study comparing the reformulated new product with the approved reference medicinal product should be submitted. The potential for a difference in food effect on the rate and/or extent of absorption or a difference in absorption interactions between the reformulated new product and the approved reference product should be discussed and when relevant evaluated in vivo.

In the case where a lower dosage strength has not been developed the dosage recommendations for the suprabioavailable product will have to be supported by clinical studies.

Regarding the requirement to perform incurred sample reanalysis (ISR), how should the absence of ISR be handled? Is it possible to identify other factors which could be assessed in the absence of ISR to support the validity of the analytical method?

ISR is considered an element of the validation of the analytical method during study sample analysis. It has been discussed for many years in the scientific community and recently been introduced as regulatory requirement in the European guideline. Like for any deviation from a guideline requirement, the lack of ISR requires a scientific justification by the applicant. Such justification could be considered for validations which have been performed before the new guideline came into force. Its scientific validity will need to be reviewed on a case-by-case basis in the light of the overall validation data, the study outcome, as well as the reliance of the application on these data.

Introduction of ISR as a regulatory requirement

The principles for the implementation of a guideline are outlined in the Procedure for European Union guidelines and related documents within the pharmaceutical legislative framework (EMEA/P/24143/2004 Rev.1). While applicants may, with the agreement of the competent authority concerned, choose to apply a guideline in advance of the date for coming into operation of a guideline, competent authorities should await this date before requiring a guideline to be taken into account for assessments. The Guideline on bioanalytical method validation came into force on 1 February 2012 meaning that as of this date this document sets the applicable requirements for the regulatory review of applications.

It is acknowledged in the above-mentioned principles that in some circumstances it may not be possible for applicants to fully comply with new guidelines within this timeframe (e.g. data generated from trials started before the implementation of the new guideline). In such cases, the applicant should consider whether departure from the new guideline could be justified. The applicant's justification will then be considered on a case-by-case basis by the relevant competent regulatory authorities.

In compliance with this framework, the regulatory assessment requires the review of the bioanalytical method validation in any application against the current regulatory standards as set out in the guideline, including the requirement to address incurred sample reanalysis. If an element of the validation is missing, e.g. lack of incurred sample reanalysis, then this would need to be scientifically justified by the applicant. Such justification can be considered in the framework of the above exception that a particular validation has been performed before the bioanalytical guideline came into force, i.e. February 2012. Any justification will need to be reviewed on a case-by-case basis considering the overall validation data, the study results, as well as the reliance of the application on these data.

Considerations regarding a potential justification for the lack of ISR data

The attempt to scientifically justify the lack of ISR is considered only appropriate for the very practical reason that a study was performed before the Guideline on Bioanalytical Method Validation came into force.

For the scientific justification of the lack of ISR the applicant should take all the following points into consideration:

  • metabolite back conversion:
    The applicant should support that back conversion is not an issue for the drug compound or that the risk of back conversion on the outcome of the study results is low as for instance it is known that the drug compound is (almost) not metabolised. For drug compounds for which it is known that back conversion is an issue, i.e. clopidogrel, atorvastatin, ramipril, lack of ISR is considered not acceptable.
     
  • other ISR data obtained in the same laboratory:
    ISR data obtained for the same analyte from other studies carried out in the same laboratory and with the same analytical method may be used as supportive data to justify the lack of ISR.
     
  • data from repeat analysis:
    In most studies repeat analysis of study samples has to be carried out for different reasons. Repeat analysis can be considered as ISR in certain situations, however due to the nature of the reanalysis (for instance run acceptance criteria failure) those data are considered not reliable. The applicant should report the data of these reanalysis and take into account and discuss the reason for the reanalysis in the justification for supportive data.
    In case of a multi analyte analysis, if the repeat analysis was due to run acceptance criteria failure for one of the analytes, but the other has passed, the results of the analyte(s) which passed can be used to infer ISR, if analysed.
     
  • the obtained pharmacokinetic data in the study:
    The applicant should compare the obtained pharmacokinetic data with data obtained previously or with reported data and should show that these are comparable
     
  • 90% confidence interval:
    As one element of such justification, if applicable, the applicant could also take into consideration the width of the 90% confidence interval and the ratio to possibly justify that a false positive outcome due to ISR problems has a low probability.

The last two bullet points need to be thoroughly discussed specifically for bioequivalence studies.

The applicant should also consider the overall reliance of the application on the data generated with the bioanalytical method in question.For new molecular entities the pivotal basis of the application normally rests on clinical efficacy and safety studies, nevertheless pharmacokinetic studies in such an application provide significant information (e.g. general pharmacokinetic profile, interactions), which is also reflected in the labelling, hence the validity of such data needs to be sufficiently ensured. Abridged applications may exclusively rely on pharmacokinetic data, e.g. bioequivalence studies, making overall validity of these data paramount. Therefore, the validity of the data needs to be considered for the assessment of the application and the specific study considering whether the data are pivotal or supportive.

Background

The requirement to perform incurred sample reanalysis (ISR) has been introduced with the Guideline on bioanalytical method validation (EMEA/CHMP/EWP/192217/2009). Incurred sample reanalysis (ISR) is applied to assess the reliability of bioanalytical methods used in pre-clinical toxicokinetic studies and for a variety of clinical pharmacology studies including bioavailability, bioequivalence, pharmacokinetic, interaction and comparability studies. The need for incurred sample reanalysis is discussed already since 20061 and regulators supported the need for incurred sample reanalysis also considering significant bioanalytical deficiencies observed in studies. Therefore, although incurred sample reanalysis is a requirement introduced in Europe for the first time with the new EMA Guideline on bioanalytical method validation (EMEA/CHMP/EWP/192217/2009), which came into force in February 2012, it should be noted that the scientific need to perform ISR as an element of bioanalytical method validation was already identified much earlier. ISR should therefore be considered as part of the validation of the analytical method during study sample analysis.

Different sources can be identified which might contribute to the failure of ISR. Some sources may be more likely to occur than other depending on the method, active substance, and analyst, however they cannot be excluded. Sources of ISR failure may be:

  • Execution, i.e. switched samples, instrument issues, scientist performance of method
  • Method, i.e. metabolite interferences, back conversion of metabolites, poor ruggedness, internal standard response
  • Samples, i.e. matrix effects,mislabelling, handling

It is recognized that some of these sources are also likely to occur during validation, like switching samples and mislabelling.

ISR failure and thus lack of the reliability of the study outcome can happen in each study and as such it is difficult to generalise it. Especially with pivotal studies it should be ensured that the results are reliable. However it is also understood that ISR is an additional confirmation of results next to a complete validation.

References

1. Viswanathan CT, Bansal S, Booth B et al. (2007) Workshop/Conference Report: Quantitative bioanalytical methods validation and implementation: best practices for chromatographic and ligand binding assays. AAPS J. 9(1), E30–E42

2. Drug interactions

The Guideline on the investigation of drug interactions states that: “the incubation duration of enzyme induction or down-regulation– in vitro studies should generally be 72 hrs. Shorter durations should be well justified.” Most pharmaceutical companies currently use a 48 hrs incubation period with media replenishment every 24 hrs. The mRNA responses are very quick (often 24h). Longer incubation periods bear the risk of study outcome limiting cytotoxicity.

2.1.1 What is the rationale behind recommending a 72 hours incubation time for enzyme induction or down-regulation in vitro studies? Is it acceptable to use shorter incubation times such as 8 to 12 hours measuring mRNA when obtaining EC50 and Emax? This situation could be most relevant for cytotoxic medicines such as used in oncology.

When drafting the guideline limited experience with induction studies measuring mRNA was available. Based on studies measuring enzyme activity, an incubation duration of 3 days appeared suitable. However, in accordance with the guideline, shorter incubation times can be sufficient if well justified that adequate sensitivity is maintained. The sensitivity of the specific study is verified by the response of the positive control inducer (see the Guideline on the Investigation of Drug Interactions for details).

We have no experience with very short incubations (8-12 hrs) and we are not aware of any literature reference evaluating this. If adequate sensitivity cannot be supported it is recommended to investigate induction in vivo instead, for example by performing a cocktail study.

2.1.2 Would reporter gene data and/or PXR and CAR TR-Fret competitive binding assays be acceptable?

If an induction signal for a PXR inducible enzyme is detected and EC50 and Emax for your investigational drug can be determined, the RIS correlation method (or possibly the mechanistic static model) as described in the Guideline on the investigation of drug interactions could be used with short incubation periods if sensitivity is ensured during the validation.

Receptor binding assays can be used as supportive data only. If using these assays, the applicant needs to provide data supporting the performance of the method, including sensitivity.

The Agency has experience with down-regulation observed in human hepatocytes confirmed in vivo.

The 50-fold safety margin on Cmaxu is experience based and has been applied for more than a decade in the enzyme inhibition assessment in the EU. The safety margin includes factors such as an at least 10-fold inter-study variability in Ki, the possibility of markedly higher concentrations in the hepatocyte than in plasma and higher portal vein concentration than Cmax in plasma during absorption.

The safety factor used for inhibition is also applied in the induction assessment. However, additional issues add to the uncertainty of the IVIVC for induction, such as the possible metabolic and/or chemical degradation during the incubations (37°C for 24 hours) and the lack of control of transporter expression in the cells. Reducing the safety-factor based on Vd cannot be recommended until there is scientific data to support this.

The 2-fold cut-off is used in the basic model. This relates to the first investigation of whether the drug could be an inducer and therefore it is suitable to have a simple approach. For PXR mediated induction the applicant may use alternative methods such as the RIS correlation method and the mechanistic static model as stated in the guideline. At present the use of PBPK is not recommended for this purpose.

What is the scientific rationale behind recommending CITCO as the positive control for the in vitro assessment for CYP2B6 induction? Is the Agency willing to consider alternative compounds such as Efavirenz which is known to cause CYP2B6 induction-based DDIs in the clinic and is known to be a CAR transactivator? October 2014

If the CAR activator also activates PXR to a significant extent, presence of CAR regulatory pathways cannot be verified. CITCO at the proposed concentration 100 nM is the only substance we are aware of that activates CAR exclusively. Efavirenz is a PXR and CAR agonist (Sharma et al, Biochem Pharmacol 2013). If confirmed that the PXR activation of efavirenz, or another substance, is negligible as compared to the effect on CAR at a certain concentration, the use of that substance as a positive control for CAR could be supported.

Background

CITCO has poor properties which results in variable inductive responses between studies. In addition, CITCO is not an approved drug which limits the applicability to put in vitro data into clinical context.

What are the expectations with respect to co-regulated enzymes including transporters if a compound induces CYP1A2, CYP2B6 or CYP3A4? Rather than assessing induction of CYP2C in the clinic, can in vitro data or a paper argument be used to avoid additional targeted clinical DDI studies knowing that PXR is involved in the regulation of CYP3A4 and CYP2B6? October 2014

A mechanistic approach to induction is applied. If induction is observed for one of these enzymes, co-regulated enzymes and transporters will be assumed to be also induced. The effect on these enzymes/transporters should preferably be quantified in vivo. Based on present knowledge, lack of CYP2C induction is concluded if the drug does not increase CYP3A4 or CYP2B6 mRNA expression.

Please note that when the aim of an in vivo induction study is to quantify an induction effect, the duration of the treatment of the inducer should be well thought and justified to the agency based on a conservative enzyme degradation constant (kdeg) and time to reach steady state for the inducer (please see the Guideline on the investigation of drug interactions).

At present, to evaluate the full induction effect on a CYP3A4 substrate, a duration of 10-14 days is recommended for a perpetrator that does not accumulate during multiple-dose conditions.

3. Bioequivalence (general)

The Guideline on the investigation of bioequivalence (CPMP/QWP/EWP/1401/98 Rev. 1) recommends analysing bioequivalence studies using ANOVA and specifying all factors, including subjects, as fixed rather than random. The analysis presented above show that this approach (Method A) is feasible even for unbalanced replicate design studies. The advantage of this approach is that it is straightforward and that it appears to be software and software option independent. A simple linear mixed model, which assumes identical within-subject variability (Method B), may be acceptable as long as results obtained with the two methods do not lead to different regulatory decisions. However, in borderline cases and when there are many included subjects who only provide data for a subset of the treatment periods, additional analysis using method A might be required.

For highly-variable drugs it is recommended to estimate the within subject variance using data from the reference formulation only.

Discussion

The Guideline on the investigation of bioequivalence (CPMP/QWP/EWP/1401/98 Rev. 1) recommends analysing bioequivalence studies using ANOVA and specifying all factors, including subject, as fixed rather than random.

For a 2×2 crossover trial the confidence intervals for the formulation effect will be the same regardless of whether fixed or random effects are used for subject.

For replicate designs the results from the two approaches will differ if there are subjects included in the analysis who do not provide data for all treatment periods. Either approach is considered scientifically acceptable, but for regulatory consistency it is considered desirable to see the same type of analysis across all applications.

For multi-period studies other, more complex statistical models are possible. One of the possibilities is to include a subject by formulation interaction term. Analysis of data currently available shows that the subject by formulation interaction is negligible and therefore models without the interaction effect adequately control the type I error. Thus the same statistical models can be used regardless of the design.

Background

The following text on the general analysis of bioequivalence studies is included in the guidance document. The bold text is the main sentence of interest for this discussion.

Evaluation

Statistical analysis

The assessment of bioequivalence is based upon 90% confidence intervals for the ratio of the population geometric means (test/reference) for the parameters under consideration. This method is equivalent to two one-sided tests with the null hypothesis of bioinequivalence at the 5% significance level.

The pharmacokinetic parameters under consideration should be analysed using ANOVA. The data should be transformed prior to analysis using a logarithmic transformation. A confidence interval for the difference between formulations on the log-transformed scale is obtained from the ANOVA model. This confidence interval is then back-transformed to obtain the desired confidence interval for the ratio on the original scale. A non-parametric analysis is not acceptable.

The precise model to be used for the analysis should be pre-specified in the protocol. The statistical analysis should take into account sources of variation that can be reasonably assumed to have an effect on the response variable. The terms to be used in the ANOVA model are usually sequence, subject within sequence, period and formulation. Fixed effects, rather than random effects, should be used for all terms.

Following the publication of revised version of the Guideline on the investigation of bioequivalence (CPMP/QWP/EWP/1401/98 Rev.1) this paragraph raised several questions from interested parties. The reason for this interest was twofold. Firstly, the new guideline gives more emphasis to replicate design trials and evaluation of such trials is a more complex task compared to a conventional two-period two sequence crossover trial. Secondly, the current standard for the analysis of replicate design trials is a likelihood-based linear mixed model with random subject effects.

The question of whether to use fixed or random effects is not important for the standard two period, two sequence (2×2) crossover trial. In section 4.1.8 of the guideline it is stated that “subjects in a crossover trial who do not provide evaluable data for both of the test and reference products should not be included.” Provided this is followed the confidence intervals for the information effect will be the same regardless of whether fixed or random effects are used.

Therefore all that remains to be discussed is the analysis method for replicate designs. In section 2 three models for analysing data from replicate bioequivalence trials are considered. To illustrate these approaches, in section 3 data from a four-period unbalanced study (see data set I, 3.1 Annex I - Statistical analysis methods compatible with EMA bioequivalence guideline) and data from a three-period balanced study (data set II, 3.1 Annex I - Statistical analysis methods compatible with EMA bioequivalence guideline) were analysed using different statistical models and computer programs (3.1 Annex II - Statistical analysis of bioequivalence study example data set and Statistical method of equivalence studies - Annex III).

  1. The expected analysis for the combined data in a two-stage design is ANOVA with terms for stage, sequence, sequence*stage, subject (sequence*stage), period (stage), formulation.
  2. This model can be fitted provided that in each stage, there is at least one subject randomised to each sequence. This does not supersede the requirement for at least 12 subjects overall.
  3. A term for a formulation*stage interaction should not be fitted.

Discussion

From the perspective of type I error control it is considered that there is no minimal number of subjects to be included in the second stage of a two-stage design, so long as it can be demonstrated that the type I error of the study is controlled. However, the analysis model for analysing the combined data also needs to be considered.

The CHMP Guideline on the investigation of bioequivalence (CPMP/EWP/QWP/1401/98 Rev. 1/ Corr) states: “When analysing the combined data from the two stages, a term for stage should be included in the ANOVA model.” In addition, to account for the fact that the periods in the first stage are different from the periods in the second stage, a term for period within stage is required. Therefore, the expected ANOVA model for analysis of the combined data from a two-stage design would have the following terms: stage, sequence, sequence*stage, subject (sequence*stage), period (stage), formulation. To fit this model it is necessary to have in each stage at least one patient in each sequence – so a minimum of two patients in each stage of the study, but more if both happen to be randomised to the same sequence.

A model which also includes a term for a formulation*stage interaction would give equal weight to the two stages, even if the number of subjects in each stage is very different. The results can be very misleading hence such a model is not considered acceptable. Furthermore, this model assumes that the formulation effect is truly different in each stage. If such an assumption were true there is no single formulation effect that can be applied to the general population, and the estimate from the study has no real meaning.

Background

According to the Guideline on the investigation of bioequivalence (CPMP/QWP/EWP/1401/98 Rev.1), it is acceptable to use a two-stage approach when attempting to demonstrate bioequivalence. The question was raised whether there were a minimum number of subjects that should be included in the second stage of such a design.

In the European Union (EU), PK bioequivalence studies are considered an acceptable methodology to compare the lung deposition of two inhalation products containing the same active substance. In cases where the oral bioavailability of swallowed drug is negligible, or in case it is made negligible by active charcoal blockade, the plasma concentration time curve reflects both the extent of and the pattern of deposition within the lungs.

To conclude equivalent efficacy, both the amount of drug reaching the lungs and the deposition pattern of drug particles within the lung needs to be equivalent.

The area under the plasma concentration-time curve (or AUC) reflects the amount of drug that has reached the lungs. As the rate of absorption from the inhaled particles is different at different areas of the lung, the deposition pattern within the lung is mirrored by the shape of the plasma concentration-time curve during the absorption phase, i.e. Cmax and tmax.

In the case where intestinal absorption is not prevented, i.e. in a study without charcoal blockade, and thus absorption is the sum of the absorption via the lungs and intestinal absorption, as for other modes of administration, equivalent systemic safety can be concluded if two products give rise to equivalent systemic exposure (AUC and Cmax).

Pharmacokinetic endpoints may be more discriminative than PD or clinical endpoints, in particular the efficacy endpoints available for inhaled corticosteroids.

Use of active charcoal and truncated AUCs

For some inhaled medicinal products, the contribution of intestinal absorption to systemic exposure is negligible (5%) and a single dose PK study without charcoal can be used for both efficacy and safety comparisons. Reasons for the negligible contribution include poor intestinal absorption (e.g., chromoglycate, nedocromil), or an extensive first-pass metabolism (e.g., beclomethasone, fluticasone, mometasone, ciclesonide). For drugs with significant oral bioavailability (e.g., budesonide, formoterol, salmeterol), a PK study with active charcoal is necessary to assess efficacy, and a study without charcoal is used to assess safety. The charcoal blockade needs to be validated to demonstrate that oral contribution to total bioavailability is negligible. In case the absorption of the drug in the lung is very quick (e.g., tmax ≤ 5 min) and absorption occurs before the contribution of gastrointestinal absorption is significant (e.g., salbutamol/albuterol, salmeterol), AUC0-30 min might be acceptable as a surrogate for efficacy and AUC0-t for safety. Thus, in this case, one study without active charcoal blockade is sufficient.

To be noted, most respiratory medicinal products are now being approved in the EU based on PK studies (e.g., nasal sprays of mometasone in suspension; pMDI in suspension of salbutamol, salmeterol, fluticasone and salmeterol/fluticasone; and DPI of salmeterol/fluticasone).

In bioequivalence studies, scaling or widening of the acceptance limits is only acceptable for Cmax when it is caused by high intra-subject variability despite similar in vitro characteristics. Scaling is not a suitable solution to the variability in the in vitro characteristics, i.e. the fine particle dose (FPD) of different batches of the reference product.

Widening of the acceptance range

Widening of the conventional 20% acceptance range based on high variability is only possible for Cmax according to the CHMP Guideline on the Investigation of Bioequivalence (CPMP/EWP/QWP/1401/98 Rev. 1/Corr) (up to 69.84 – 143.19%) if a replicate design is conducted.

To support safety, it should be demonstrated that the systemic exposure is not higher for the test product than for the reference product, i.e. the upper limit of the 90% confidence interval should not exceed the upper bioequivalence acceptance limit 125.00.

Between-batch variability of the reference product and intra-batch variability over time

Variability in particle-size distribution between batches of the reference product or within a single batch of a reference product through their storage period can be significant. There may even be situations where it may be difficult to demonstrate PK bioequivalence between batches of the same reference product. Therefore, before the in vivo comparison, several batches of both test and reference products could be tested to identify representative batches (within ±15% of the corresponding median fine particle dose (or APSD)) of test and reference, respectively. In case of fixed combinations this may imply, if pre-specified in the protocol, the use of different batches for each component.

The development of an IVIVC may be useful to correct the results of the PK study to justified parts of the APSD of the typical marketed batch of the reference product and the corresponding typical test product batch according to the proposed specifications. The IVIVC could also be used as scientific support of the in vitro specification of the test product.

Another approach that might be acceptable is to show that the side batches (batches in the tails of the distribution) representing the test product specifications are not superior and not inferior to the side batches of the reference product obtained from the market.

To demonstrate that the within subject variability for Cmax of the reference product is greater than 30% a replicate design where the reference product is given more than once is required. If a 3 period design is to be used to justify a widening of the limits for Cmax subjects the most efficient study design would randomise subjects to receive treatments in the following order: RRT, RTR or TRR. This design is the most efficient as all subjects receive the reference product twice and hence an estimate of the within subject variability is based on data from all subjects.

The question raised asks if it is possible to use a design where subjects are randomised to receive treatments in the order of TRT or RTR. This design is not considered optimal as explained above. However, it would provide an estimate of the within subject variability for both test and reference products. As this estimate is only based on half of the subjects in the study the uncertainty associated with it is higher than if a RRT/RTR/TRR design is used and therefore there is a greater chance of incorrectly concluding a reference product is highly variable if such a design is used.

The CHMP Guideline on the Investigation of Bioequivalence requires that at least 12 patients are needed to provide data for a bioequivalence study to be considered valid, and to estimate all the key parameters. Therefore, if a 3-period replicate design, where treatments are given in the order TRT or RTR, is to be used to justify widening of a confidence interval for Cmax then it is considered that at least 12 patients would need to provide data from the RTR arm. This implies a study with at least 24 patients in total would be required if equal number of subjects are allocated to the 2 treatment sequences.

Background

The Guideline on the investigation of bioequivalence (CPMP/EWP/QWP/1401/98 Rev.1), states that: "for the acceptance interval to be widened the bioequivalence study must be of a replicate design where it has been demonstrated that the within-subject variability for Cmax of the reference compound in the study is >30%."

The question was raised whether it is suitable to use a TRT/RTR replicate design to demonstrate that the Cmax of the reference product is highly variable or is it mandatory to use TRTR/RTRT or TRR/RTR/RRT replicate designs?”

3.6 If the SmPC of a reference product allows for the possibility to administer a tablet crushed or disintegrated (and mixed with food), would a specific bioequivalence study with administration of crushed/disintegrated tablets (Test and Reference) be required for a generic application? March 2019

Revised PKWP position:

The bioavailability of the active substance(s) may be altered if the product is crushed/disintegrated to assist swallowing and also if a crushed/disintegrated tablet is mixed with food. This potential change in bioavailability may not only be drug-dependent, but also formulation/product-specific dependent in some cases. Therefore, serious concerns arose that a test product shown to be bioequivalent when administered as a whole tablet, might exhibit different bioavailability compared to the reference product when both are administered crushed/disintegrated (and dispersed in food). Consequently, under previous published guidance the expectation was that bioequivalence should also be demonstrated for the additional mode of administration, unless a series of specified criteria could be met, in order to waive additional in-vivo investigations.

However, the PKWP has revised its position on this topic and presently considers that it is highly unlikely that the change in bioavailability will be different between test and reference, once bioequivalence has been shown between test and reference with the intact or non-dispersed tablet.

Consequently, if the SmPC of the reference product allows for the possibility to administer the tablet crushed/disintegrated (and dispersed in food), bioequivalence does not need to be also demonstrated with this additional mode of administration.

For products that could be dispersed in water and administered via a nasogastric tube, in vitro data to support the claimed SmPC-wording should be provided.

If the test product is an oral solution (or suspension) dosed in single dose sachets and the test product claims the administration with or without water (or makes no claim), how should the test product be administered in the BE study - with or without concomitant fluid intake? If the test product is an oral powder or granulate dosed in a single dose sachet for intake with or without water it is understood that it should be assimilated to an orodispersible tablet, orodispersible film, buccal tablet or film, sublingual tablet or chewable tablet, but how should oral solutions/suspensions be tested? September 2017

The requirements for the investigation of bioequivalence/comparative bioavailability for oral solutions and suspensions regarding fluid intake during administration can be summarised as follows:

  1. In case the SmPC of the reference product states that it should be administered with water and the test product claims the same then during the study both products should be administered with water.
  2. In case the SmPC of the reference product states that the product should be administered without water and the test product claims the same then during the study both products should be administered without water.
  3. In case the SmPC of the reference product states that it should be administered with water and the test product claims that it can be administered both with or without water then during the study both products should be administered with water and additional data for the test product without water (e.g. a third study arm) should be submitted to support this claim.
  4. In case the SmPC of the reference product states that it should be administered with or without water and the test product claims the same then during the study both products should be administered without water as this generally represents “the worst-case scenario”.
  5. In case the SmPC of the reference product states nothing concerning fluid administration and the test product claims the same then during the study both products should be administered without water as this generally represents “the worst-case scenario”.

Rationale:
Changing the volume of fluid intake can affect the gastrointestinal transit time and in certain cases the in vivo solubility of the active substance and/or the concentration of a critical excipient and hence the absorption of the active substance. Therefore, a possible effect of fluid intake during administration on the bioavailability of an oral solution/suspension cannot be excluded. As the magnitude of this effect is expected to be maximal when administration takes place without water, which generally represents the worst-case scenario, it would be preferable to investigate bioequivalence/comparative bioavailability under these conditions. Deviations from this approach should be scientifically justified and supported by additional study data and/or literature.

The general requirements for biowaiver of an additional strength are detailed in section 6.2.2. of the Guideline on the pharmacokinetic and clinical evaluation of modified-release dosage forms (EMA/CHMP/EWP/280/96 Rev1).

The dissolution profiles should be compared not only in Pharmacopoeial conditions (2 hours at pH 1.2 followed by 45 minutes at pH 6.8), but also at more neutral pHs in the range 2-5, both for single unit non disintegrating and disintegrating dosage forms with multiple units. Hence, at least, two dissolution tests in two steps are required. First, a comparison at pharmacopoeial conditions, 2 hours at pH 1.2 followed by 45 minutes in pH 6.8 and then, a second separate dissolution test at a higher initial pH mimicking fed state, e.g. 2 hours at 4.5 followed by 45 minutes in pH 6.8.

Concluding similarity if dissolution of more than 85% is obtained within 15 minutes is not applicable for gastro-resistant formulations. In case of gastro-resistant formulations the release occurs after gastric emptying (median approx. 13-15 min). Therefore, the comparison of dissolution profiles should be performed even if dissolution is more than 85% before 15 min in either products or strengths. Hence, a tight sampling schedule is recommended after the product has been investigated for 2 hours in media mimicking the gastric environment (pH 1.2 or 4.5) since profile comparison (e.g. using the f2 calculation) is required.
 

Is the Mahalanobis Distance (MD) an adequate measure for use in the assessment of dissolution similarity, in particular in cases where the f2 statistic is not suitable?

Can interval estimation be used to inform decision making for the similarity of dissolution profiles based on an inferential statistical approach (with MD or other statistical measures)?

As background to the comments provided below, it is considered important to note that in cases when f2 is considered suitable, i.e. can be used as outlined in Appendix 1 of the CHMP guideline on the investigation of bioequivalence [CPMP/EWP/QWP/1401/98 Rev. 1/ Corr **], guideline-compliant evaluation of dissolution similarity does not involve confidence interval estimation to decide upon similarity. The recommended decision criterion is based only upon the derived numerical value for f2 (point estimate ≥ 50)1. This means that the uncertainty related to the f2 sampling distribution is not accounted for. Against this background, the question concerning an adequate alternative statistical decision criterion, for cases where f2 should not be used, is difficult to answer. Some of the recently suggested alternative statistical approaches to measure the distance between two dissolution profiles involve an inferential element, i.e. the estimation of a confidence interval or region. Since f2 employed on its own does not have any inferential element, comparing these potential alternatives to the standard f2 criterion is hence not straightforward.

Regarding the MD, it is a dissimilarity measure between two random vectors x and y of the same length, which takes into account the correlations in the data set. MD is the multi-dimensional generalisation of the idea of expressing the distance between two points using standard deviation as the unit of measurement. This standardisation means that MD is dependent on variance and covariance estimates. In dissolution data sets, covariates generally correspond to dissolution percentages collected for different time-points. Under some assumptions, the MD becomes smaller, indicating similar dissolution profiles, with increasing variability observed in the data. This property makes its use undesirable for deciding upon similarity in dissolution, in particular with regard to the additional criterion that similarity limits should not be greater than a 10% difference at any time point is satisfied [CPMP/EWP/QWP/1401/98 Rev. 1/ Corr **]; depending on the variability observed it is quite possible to have an observed difference of over 10% at some time point, yet MD-based criteria could declare the difference to be unimportant.

Based on these considerations, the MD metric cannot be supported as a preferred methodological approach to decide upon similar dissolution, even in situations where the f2 statistic should not be used in the way outlined in the CHMP bioequivalence guideline.

Any approach based upon confidence intervals for f2 would, however, be considered appropriate whether the validity criteria outlined in CHMP guidance are met or not [CPMP/EWP/QWP/1401/98 Rev. 1/ Corr **]. Similarity could then be declared if the confidence interval for f2 were entirely above 50. However, regardless of whether the conditions to adequately apply f2 in a dissolution experiment are fulfilled or not, the properties of the f2 sampling distribution do not allow the derivation of exact confidence intervals to adequately quantify the uncertainty of the f2 estimate. To address this, bootstrap methodology could be used to derive confidence intervals for f2 based on quantiles of re- sampling distributions, and this approach could actually be considered the preferred method over f2 and MD.


1 Another drawback of the f2 is that neither the shape of the dissolution profiles nor the time correlation is taken into account. Permuting the order of the time points would give the same f2 estimate, provided the time points in the test group are always compared to the same time points in the reference group. This means the f2 metric is not using all potentially relevant information available. Implications of this property on the sensitivity/specificity of the f2 decision criterion remain uncertain.

For products acting locally in the mouth and/or throat, the guideline on equivalence studies for the demonstration of therapeutic equivalence for locally applied, locally acting products in the gastrointestinal tract (CPMP/EWP/239/95 Rev. 1, Corr.1) states that in those cases where it is justified that the drug is released from the dosage form as a solution due to its high solubility, it is possible to assess indirectly the local availability or the amount released by assessing the amount remaining in the dosage form at selected time points in an in vivo study. The guideline does however not mention to what extent the active substance must be released to ensure a conclusive result. 

The PKWP is of the opinion that if equivalence is evaluated with this type of study, the lozenges (test and reference) are expected to be completely dissolved during the study time. Given the limited experience at the current time for this type of in vivo study, the PKWP considers that a recovery of >85% is expected, unless otherwise justified.  

When the study is designed, consider providing an instruction to the subjects on how to suck the lozenge in order to achieve sufficient release during a reasonable study time. 

Introduction

Appendix I of the Guideline on the Investigation of Bioequivalence defines the f2 similarity factor as the method for testing the similarity of dissolution profiles as well as the conditions where it is not necessary (i.e. when more than 85% is dissolved in 15 min in oral products for systemic action) and the requirements for its calculation (i.e.

  • a minimum of three time points (zero excluded),
  • the time points should be the same for the two formulations,
  • at least twelve individual values for every time point for each formulation,
  • not more than one mean value of > 85% dissolved for any of the formulations and
  • the relative standard deviation or coefficient of variation of any product should be less than 20% for the first time point and less than 10% from second to last time point).

This last requirement has been slightly modified in the Reflection paper on the dissolution specification for generic solid oral immediate release products with systemic action, where high variability of the dissolution results have been exemplified as > 20% RSD at time-points ≤ 10 minutes, > 10% RSD in the later phase for a sample size of 12. Similarly, in the ICH M9 Guideline on Biopharmaceutics Classification System-based Biowaivers, it is stated: “To allow the use of mean data, the coefficient of variation should not be more than 20% at early time-points (up to 10 minutes), and should not be more than 10% at other time points”. A tendency to avoid early sampling times (e.g. at 5 min) has been observed, which might cause an incomplete characterisation of the profile, to avoid excessive variability in more than one sampling time (e.g. at 5 and 10 min). Therefore, this modification should be taken into account. Furthermore, all sampling times pre-defined in the dissolution study protocol until the sampling time where one of the products reaches > 85% dissolved should be considered in f2calculation. The dissolution study protocol should indicate the study objectives, pre-specify the batches to be compared, the dissolution test conditions (apparatus, media composition, agitation rate), media de-aeration, sample filtration and analytical methodology, sampling approach, sampling times, and include the full description of methodology employed for dissolution profile comparison (e.g. f2 if variability conditions are met and bootstrap 90% CI of expected f2 with a percentile method for bootstrap 90% CI calculation if variability conditions are not met, including software to be used, number of bootstrap samples, seeds, etc.).

Appendix I of the Guideline on the Investigation of Bioequivalence indicates that when the f2 statistic is not suitable, then the similarity may be compared using model-dependent or model-independent methods e.g. by statistical multivariate comparison of the parameters of the Weibull function or the percentage dissolved at different time points. Alternative methods to the f2 statistic to demonstrate dissolution similarity are considered acceptable, if statistically valid and satisfactorily justified. However, PKWP/BSWP Question and Answer 3.9 clarified that “the Mahalanobis Distance (MD) metric cannot be supported as a preferred methodological approach to decide upon similar dissolution, even in situations where the f2 statistic should not be used in the way outlined in the CHMP bioequivalence guideline. Any approach based upon confidence intervals for f2 would, however, be considered appropriate whether the validity criteria outlined in CHMP guidance are met or not. Similarity could then be declared if the confidence interval for f2 were entirely above 50. However, regardless of whether the conditions to adequately apply f2 in a dissolution experiment are fulfilled or not, the properties of the f2 sampling distribution do not allow the derivation of exact confidence intervals to adequately quantify the uncertainty of the f2 estimate. To address this, bootstrap methodology could be used to derive confidence intervals for f2 based on quantiles of re-sampling distributions, and this approach could actually be considered the preferred method over f2 and MD”.

This Q&A describes expectations for conducting and reporting bootstrap methodology.

Bootstrap methodology

The use of two-sided 90% confidence interval of f2 is the recommended methodology for dissolution comparison when highly variable conditions occur, since the use of f2 could be highly influenced by the experimental dissolution data and might not represent the population (true) f2.

The bootstrap analysis should be performed using at least 5,000 samples and the number of samples should be reported. The calculation of the 90% confidence interval should be conducted using any of the percentile methods described by Hyndman and Fan [1]. All sampling times pre-defined in the dissolution study protocol should be considered in the calculation until the sampling time where one of the products reaches >85% dissolved should be considered in the bootstrap dissolution samples.

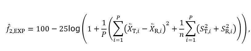
The estimation of the f2 value on each bootstrapped dissolution sample should be performed using the Expected-f2 formula [2]. Equation 1 summarises the mathematical description of the Expected-f2:

bootstrap method equation

where P  is the number of time points; 

2022-02-16_16-05_57.jpg

and

X ?_(R,i)

are mean dissolution data at the

2022-02-25_14-23_07.jpg

time point of random samples chosen from test and reference population, respectively

S_(T,i)^2

 and

S_(R,i)^2

 are unbiased estimates of variance at the

2022-02-25_14-34_40.jpg

 time points of random samples chosen from test and reference population, respectively; and

2022-02-16_16-26_45.jpg

 is the sample size.

Reporting of study results

When reporting dissolution profile comparisons, the applicant should provide individual results of the percentage dissolved at the different sampling times pre-defined in the protocol as well as mean percentage dissolved with its variability (CV(%)) in order to allow the replication of the calculations.

In addition, the applicant should discuss the basis for the similarity conclusion: dissolution is > 85% in 15 min for oral products with systemic action, f2 similarity factor calculation (e.g. acceptable variability, no more than one sampling time above 85% dissolved, etc.) is needed, or if the 90% confidence interval of f2 is required.

In case of bootstrapping, similarity in dissolution profiles will be concluded when the lower limit of the 90% confidence interval for the Expected f2 is ≥ 50. The results should be reported rounded to the nearest integer without decimal units.

Software packages

Specific software packages for the calculation of the 90% confidence interval of f2,EXP or in-house platforms could be used. In any case, the software should be adequately documented. In the case of specific software packages, the selected options (e.g. whole vectors, one profile, number of bootstrap samples, seed number, if available) should be described. In the case of in-house platforms, the code of the platform should be provided and it should be demonstrated that the employed software is able to calculate the 90% confidence interval of f2,EXP correctly. See [3] for examples of datasets and results.

References:

  1. R.J. Hyndman, Y. Fan. Sample quantiles in statistical packages. The American Statistician. 50 (1996) 361–365.
    https://doi.org/10.1080/00031305.1996.10473566
  2. M.-C. Ma, B.B.C. Wang, J.-P. Liu, Y. Tsong. Assessment of similarity between dissolution profiles., J Biopharm Stat. 10 (2000) 229–249. https://doi.org/10.1081/BIP-100101024.
  3. L. Noce, L. Gwaza, V. Mangas-Sanjuan, A. Garcia-Arieta. Comparison of free software platforms for the calculation of the 90% confidence interval of f2similarity factor by bootstrap analysis. Eur J Pharm Sci. 2020;146:105259.https://doi.org/10.1016/j.ejps.2020.105259.

Clarification on Appendix II of the Guideline on the investigation of bioequivalence  (CPMP/EWP/QWP/1401/98 Rev.1/Corr**) on whether viscosity and/or other in vitro comparative data are needed to demonstrate comparable physicochemical characteristics of oily solutions, sufficient to support a biowaiver.

Appendix II of the Guideline on the investigation of bioequivalence (CPMP/EWP/QWP/1401/98 Rev. 1/ Corr **) contains the following paragraph for parenteral solutions:

In the case of other parenteral routes, e.g. intramuscular or subcutaneous, and when the test product is of the same type of solution (aqueous or oily), contains the same concentration of the same active substance and the same excipients in similar amounts as the medicinal product currently approved, bioequivalence studies are not required. Moreover, a bioequivalence study is not required for an aqueous parenteral solution with comparable excipients in similar amounts, if it can be demonstrated that the excipients have no impact on the viscosity.

As a crucial prerequisite, it is clarified that the text of the bioequivalence guideline for an oily solution with a route of administration different to intravenous, e.g. intramuscular or subcutaneous, implicitly refers to the use of the same oil as excipient, i.e. vehicle of test and reference product.

For oily parenteral solutions that contain the same excipients in similar amounts, a bioequivalence study is not required if the test drug product’s 'rheological behaviour' (e.g. viscosity but not exclusively) and other physicochemical properties (e.g. partition coefficient and injectability) are equivalent to those of the reference product. For demonstration of equivalence, it is recommended to apply inferential statistical methodology with the commonly used equivalence criteria (90% confidence interval, 5% significance level).

Depending on the type of reference product, batches may exhibit higher variabilities. It is advised to perform the equivalence studies on the basis of data from pilot/development studies, which have investigated the variability of the reference product (using an adequate number of batches). The equivalence studies should be conducted with ‘a priori’ determined criteria and using other batches than those used in the pilot/development studies.

Reference is made to the Reflection paper on statistical methodology for the comparative assessment of quality attributes in drug development (EMA/CHMP/138502/2017).

Other excipients such as antioxidants, preservatives and buffers, that are used in small amounts, may be qualitatively and/or quantitatively different from those used in the reference product. This may be acceptable, if these changes are adequately justified and if it can be demonstrated that these differences do not have an impact on the 'rheological behaviour'. Apart from viscosity, other physicochemical properties like the partition coefficient and injectability may also need to be considered, if these excipients differ.

One important aspect of oil as a vehicle that is not an issue for an aqueous vehicle is that the Ph. Eur specification for a certain oil may allow a difference in fatty acid composition, e.g. the Ph. Eur specification for castor oil allows wide variability of fatty acid composition and castor oil exists in different qualities, up to “super refined”.

Given a different fatty acid composition may result in a different release of the drug from the formulation, for oily solutions with differences in fatty acid composition a bioequivalence study is needed unless the test product’s 'rheological behaviour' is equivalent to that of the reference product. 

So, even if the excipients are the same for the test and reference product, a suitable specification of the test product should be set in accordance with the 'rheological behaviour' results of the reference product.

Comparability in fatty acid composition is also relevant in the context of storage time because a different oxidative alteration (gumming-up) of the fatty acids could result in altered 'rheological behaviour', e.g. (higher) viscosity. Therefore, any differences in fatty acid composition should be justified and it should additionally be demonstrated that there is no impact on the 'rheological behaviour' of the product during its shelf-life.

For all other differences in composition or where the 'rheological behaviour' of the oily parenteral solution is not equivalent, in vivo bioequivalence studies are necessary to demonstrate that there is no impact on the bioavailability of the active substance. In addition, the safety and tolerability of the test product may need to be addressed if the oily vehicle or co-solvents are changed.

Introduction

The requirements for dissolution profile comparison have evolved since the adoption of the ‘Guideline on the investigation of bioequivalence’ (CPMP/EWP/QWP/1401/98 Rev. 1/ Corr **), as reflected in the EMA Clinical Pharmacology and Pharmacokinetics Q & As 3.9 and 3.11 (available at Clinical pharmacology and pharmakinetics: questions and answers).

Appendix I of the ‘Guideline on the investigation of bioequivalence’ described the state-of-the-art on dissolution profile comparison at the time of its adoption. The f2 similarity factor was recommended to evaluate dissolution profile similarity and the conditions for its calculation were defined. When the ƒ2 similarity factor was not suitable, (which was generally due to an excessive variability in the percentage dissolved at any of the sampling times selected for the dissolution profile characterisation in any of the formulations under comparison), Appendix I recommended alternative methods.

The possibility to choose these or other additional methods can cause result-driven reporting, which may increase the probability of incorrectly concluding on dissolution similarity. Therefore, identification of the most adequate methodology for dissolution profile comparison was addressed in Q & A 3.9, considering that the acceptance criterion defined in Appendix I of the Guideline was: “The similarity acceptance limits should be pre-defined and justified and not be greater than a 10% difference”.

Furthermore, the most frequently used additional methods were the 90% confidence region of the Mahalanobis Distance (MD) of the percentage dissolved at the different sampling times that characterise the dissolution profiles and the bootstrap 90% confidence interval of the f2 similarity factor. The 90% confidence region of the Multivariate Statistical Distance of the parameters of a dissolution model, e.g., the Weibull function, was not considered adequate due to the difficulty of defining the acceptance limits for the model parameters that would result in a correct characterisation of a 10% difference in the percentage dissolved.

Q & A 3.9 recommended “any approach based upon confidence intervals for f2 and that “similarity could then be declared if the confidence interval for f2 were entirely above 50”. “The properties of the f2 sampling distribution do not allow the derivation of exact confidence intervals to adequately quantify the uncertainty of the f2 estimate. To address this, bootstrap methodology could be used to derive confidence intervals for f2 based on quantiles of re-sampling distributions, and this approach could actually be considered the preferred method over f2 and MD”.

Q & A 3.11 was published subsequently to clarify some of the issues that had not been addressed previously and to avoid some problems observed in regulatory submissions.

For example, the criteria to conclude on the low or high variability of the dissolution profiles based on the relative standard deviation (RSD) or coefficient of variation (CV) of the percentage dissolved in the sampling times was updated according to the ‘Reflection paper on the dissolution specification for generic solid oral immediate release products with systemic action’ (EMA/CHMP/CVMP/QWP/336031/2017), where high variability of the dissolution results have been exemplified as greater than 20% RSD at time-points up to 10 minutes and greater than 10% RSD in the later phase for a sample size of 12. This change was implemented because a tendency to avoid early sampling times (e.g., at 5 minutes) had been observed, which might cause an incomplete characterisation of the profile, and to avoid excessive variability in more than one sampling time (e.g., at 5 and 10 minutes).

Q & A 3.11 also reinforced that all sampling times pre-defined in the dissolution study protocol until the sampling time where one of the products reaches > 85% dissolved should be considered in the f2 calculation since the unjustified exclusion of some sampling time data has been observed when more than 3 valid sampling times were available and more than one sampling time with percentage dissolved exceeding 85% are also frequently considered.

The need to conduct these comparative dissolution studies according to a predefined protocol was also highlighted since pooling of previous data obtained for other purposes and that comply with the desired conclusion is not rare.

More importantly, Q & A 3.11 defined the bootstrap methodology to be employed, since Q & A 3.9 had not defined the confidence level required for the confidence interval and any approach based on confidence intervals for f2 was considered appropriate.

Q & A 3.11 also addressed the expected reporting of study results and the need to confirm the correctness of the calculations of the software packages employed since the use of software packages that provide incorrect results had been observed.

Finally, the ‘Reflection paper on statistical methodology for the comparative assessment of quality attributes in drug development’ (EMA/CHMP/138502/2017) highlights that the ‘Guideline on the investigation of bioequivalence’ introduces dissolution similarity assessment as 'Bioequivalence surrogate inference', which actually implies that inferential statistical methodology would ideally be applied to e.g. infer a similarity-in-dissolution claim from the tablet sample to the whole tablet population (all tablets ever produced by a given manufacturing process) and the Q & A 3.9 noted that from a statistical point of view “in cases when f2 is considered suitable, i.e. can be used as outlined in Appendix 1 of the CHMP guideline on the investigation of bioequivalence [CPMP/EWP/QWP/1401/98 Rev. 1/ Corr **], guideline-compliant evaluation of dissolution similarity does not involve confidence interval estimation to decide upon similarity. The recommended decision criterion is based only upon the derived numerical value for f2 (point estimate 50). This means that the uncertainty related to the f2 sampling distribution is not accounted for and f2 employed on its own does not have any inferential element. Therefore, it was concluded that to address this, bootstrap methodology could be used to derive confidence intervals for f2 based on quantiles of re-sampling distributions, and this approach could actually be considered the preferred method over f2.

However, it is also essential to consider that use of the point estimate of the f2 similarity factor is widely applied and accepted worldwide in spite of its deficiencies (e.g., ‘ICH M9 Guideline on biopharmaceutics classification system-based biowaivers’ (EMA/CHMP/ICH/493213/2018)).

The present Q & A 3.13 summarises the current expectations for comparing dissolution profiles as surrogate for bioequivalence (e.g., when variations are supported by in vitro dissolution data or additional strengths are biowaived), especially when variability is large in the dissolution dataset.

Sampling times for characterisation of the dissolution profiles

Dissolution profile similarity testing and any conclusions drawn from the results (e.g., justification for a biowaiver) can be considered valid only if the dissolution profile has been satisfactorily characterised using a sufficient number of time points. Sampling time points should be sufficient to obtain meaningful dissolution profiles, and at least every 15 minutes. More frequent sampling during the period of greatest change in the dissolution profile is recommended. For oral immediate release formulations with intestinal absorption, a sampling time for comparison at 15 min is essential to know if complete dissolution is reached before gastric emptying. For rapidly dissolving products, where complete dissolution is within 30 minutes, generation of an adequate profile by sampling at 5- or 10-minutes intervals may be necessary. At least three time points are required: the first time point before 15 minutes, the second at 15 minutes and the third when the release is close to 85% (e.g., 5, 10, 15, 20 and 30 min). This sampling schedule should be extended as necessary if the dissolution rate is slower (e.g., 5, 10, 15, 20, 30, 45, 60 min). For modified release products, the advice given in the relevant guidance should be followed.

Similarity of dissolution profiles

For immediate release oral dosage forms with systemic action, where more than 85% of the drug is dissolved within 15 minutes, dissolution profiles may be accepted as similar without further mathematical evaluation.

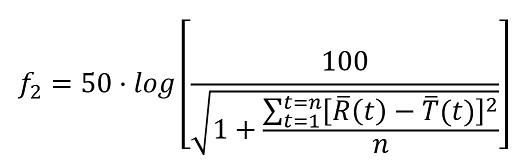
The f2 similarity factor is calculated as follows:

q-and-a-3.13.jpg

In this equation, ƒ2 is the similarity factor, n is the number of time points, R(t) is the mean percent reference drug dissolved at time t after initiation of the study, and T(t) is the mean percent test drug dissolved at time t after initiation of the study. For both the reference and test formulations, percent dissolution should be determined.

The evaluation of the similarity factor is based on the following conditions:

  • a minimum of three time points (zero excluded),
  • the time points should be the same for the two formulations,
  • at least twelve individual values for every time point for each formulation,
  • not more than one mean value of > 85% dissolved for any of the formulations, and
  • the RSD or CV of any product should be less than 20% at early time points (up to 10 minutes) and less than 10% at other time points.

All sampling times that were pre-defined in the dissolution study protocol until the sampling time where one of the products reaches > 85% dissolved should be used in the f2calculation.

An f2 value between 50 and 100 suggests that the two dissolution profiles are similar. The results should be reported rounded to the nearest integer without decimal units. The similarity acceptance limit of 50 corresponds to a mean difference of 10% in percentage dissolved over all sampling times used. In addition, the dissolution variability of the test and reference product data should also be similar, however, a lower variability of the test product may be acceptable.

Bootstrap methodology

The use of two-sided 90% confidence interval of f2 is the recommended methodology for dissolution comparison in those cases where the variability in the data in any product is greater than 20% in the sampling times in the first 10 minutes or greater than 10% at sampling times after 10 minutes since the use of f2 could be highly influenced by the experimental dissolution data and might not represent the population (true) f2.

The bootstrap analysis should be performed using at least 5,000 samples and the number of samples should be reported. The calculation of the 90% confidence interval should be conducted using any of the percentile methods described by Hyndman and Fan [1]. All sampling times pre-defined in the dissolution study protocol until the sampling time where one of the products reaches >85% dissolved should be considered in the bootstrap dissolution samples.

The estimation of the f2 value on each bootstrapped dissolution sample should be performed using the Expected-f2 (f2,EXP) formula [2].The following equation summarises the mathematical description of the Expected-f2:

bootstrap method equation
text_with_mathematical_sign_2.jpg

Dissolution study protocol

The dissolution study protocol should indicate the study objectives, pre-specify the batches to be compared, the dissolution test conditions (apparatus, media composition, and agitation rate), media de-aeration, sample filtration and analytical methodology, sampling approach, sampling times, and include the full description of methodology employed for dissolution profile comparison (e.g. f2 or bootstrap 90% CI of expected f2 with a percentile method for bootstrap 90% CI, including software to be used, number of bootstrap samples, seeds, etc.).

Reporting of study results

When reporting dissolution profile comparisons, the Applicant should provide individual results of the percentage dissolved at the different sampling times pre-defined in the protocol as well as mean percentage dissolved with its variability (CV(%)) in order to allow the replication of the calculations.

In addition, the applicant should discuss the basis for the similarity conclusion:

  1. dissolution is > 85% in 15 min for oral products with systemic action,
  2. f2 similarity factor calculation ≥50, or
  3. 90% confidence interval of f2,EXP based on bootstrapping. Similarity in dissolution profiles will be concluded when the lower limit of the 90% confidence interval for the f2,EXP is ≥ 50.

The results should be reported rounded to the nearest integer without decimal units.

Software packages

Specific software packages for the calculation of the 90% confidence interval of f2,EXP or in-house platforms could be used. In any case, the software should be adequately documented. In the case of specific software packages, the selected options (e.g., whole vectors, one profile, number of bootstrap samples, seed number (if available)) should be described. In the case of in-house platforms, the code of the platform should be provided, and it should be demonstrated that the employed software is able to calculate the 90% confidence interval of f2,EXP correctly. See [3] for examples of datasets and results. 

References

[1] R.J. Hyndman, Y. Fan. Sample quantiles in statistical packages. The American Statistician. 50 (1996) 361–365. https://doi.org/10.1080/00031305.1996.10473566

[2] M.-C. Ma, B.B.C. Wang, J.-P. Liu, Y. Tsong. Assessment of similarity between dissolution profiles., J Biopharm Stat. 10 (2000) 229–249. https://doi.org/10.1081/BIP-100101024.

[3] L. Noce, L. Gwaza, V. Mangas-Sanjuan, A. Garcia-Arieta. Comparison of free software platforms for the calculation of the 90% confidence interval of f2 similarity factor by bootstrap analysis. Eur J Pharm Sci. 2020;146:105259. https://doi.org/10.1016/j.ejps.2020.105259.

 

4. Product-specific bioequivalence

The platelet aggregation inhibitor clopidogrel is pre-systemically hydrolysed to the inactive metabolite clopidogrel carboxylic acid. The plasma levels of the unchanged drug are up to 2000 fold lower than those of the carboxylic acid metabolite. Another metabolite, clopidogrel thiol, formed by a parallel pathway, is the pharmacologically active form of clopidogrel and is generated in the intestine and liver primarily by the CYP2C19 enzyme isoform. Due to its chemical instability and low circulating levels, its detection in plasma is problematic. Clopidogrel thiol irreversibly binds to the P2Y12 receptors of ADP on the platelet membranes in portal and systemic circulation, leading to the inhibition of platelet aggregation.

4.1.1 Which substance should be studied in bioequivalence studies: the parent compound clopidogrel or the metabolite(s) of clopidogrel?

ICH-M13A (EMA/CHMP/ICH/953493/2022) states “Demonstration of BE should be based on the analysis of the parent drug because the concentrationtime profile of the parent drug is usually considered more sensitive to detect a difference between formulations than metabolite data. This also applies to prodrugs.

At the time of approval of the reference product Plavix, no reliable and validated methodology for the determination of the pharmacokinetics of the parent prodrug clopidogrel or of the active metabolite clopidogrel thiol was available. Thus, at the time, the pharmacokinetic profile of clopidogrel was established based on the pharmacokinetics of clopidogrel carboxylic acid, which is the non-active metabolite. In the meantime, the pharmacokinetic profile characterisation of clopidogrel has improved by development of a sensitive analytical technique (e.g. LC-MS-MS) enabling for a suitable investigation of the parent prodrug, clopidogrel. A more accurate picture of the PK profile of clopidogrel can be obtained.

The demonstration of bioequivalence between the reference and the generic compound should be based on the parent prodrug, clopidogrel.

4.1.2 Is demonstration of bioequivalence under fed conditions necessary in addition to the demonstration under fasting conditions?

The ICH-M13A guideline states “For a drug product that is labelled to be taken only under fasting conditions or can be taken under fasting or fed conditions, i.e., without regard to food, a single BE study conducted under fasting conditions is recommended to demonstrate BE. “

Since clopidogrel hydrogen sulphate is a drug substance with pH-dependent solubility in the pH range of 1.2 - 6.8, an additional BE assessment with concomitant treatment of a pH-modifying drug product may be necessary when the generic contains a different clopidrogel salt. (Question & answer on the need for bioequivalence studies with acid reducing agents (ARAs))

The Guideline on the investigation of bioequivalence (CPMP/EWP/QWP/1401/98 Rev 1) states “In general, a bioequivalence study should be conducted under fasting conditions as this is considered to be the most sensitive condition to detect a potential difference between formulations. For products where the SmPC recommends intake of the reference medicinal product on an empty stomach or irrespective of food intake, the bioequivalence study should hence be conducted under fasting conditions.”

The food effect on the bioavailability (BA) of the unchanged clopidogrel - not recognised in the SPC - was not investigated by the innovator before approval of the originator product since a sensitive analytical method was not available at the time of approval. However, a publication by Nirogi et al. (2006) suggested a significant food effect with a high-fat meal. Similar results have been observed in applications for generic medicinal products. The food effect might be due to a protection from acidic hydrolysis in the stomach in a fasting state, since the BA is enhanced under fed conditions. The EWP-PK subgroup reviewed the solubility properties of clopidogrel salts and these indicate that when administration of clopidogrel occurs under fasting conditions, the dissolution in the gastric media with a subsequent hydrolysis and formation of the inactive carboxy-acid metabolite is maximal. As a consequence, the extent of unchanged drug that still is available for absorption (at the intestine level) is reduced. Conversely, the dissolution of clopidogrel is limited in the gastric media under fed conditions, the acidic hydrolysis in the stomach is reduced and the BA of clopidogrel is improved.

The EWP-PK subgroup acknowledges that as a consequence, the solubility of salts might be important. However, all clopidogrel salts have high solubility at low pH and the risk for acidic hydrolysis may therefore be similar. The food effect could consequently be expected to be similar to the reference product for different salts. Hence, the EWP-PK subgroup considered that there was currently an insufficient scientific rationale to justify a deviation from the revised Guideline on the Investigation of Bioequivalence and bioequivalence should be demonstrated under fasting conditions irrespective of the salt.

Should further information on the food effect of clopidogrel become available, the SPC would be amended accordingly.

Background

At the time the innovative drug-product was developed, no data regarding the effect of food on the bioavailability of clopidogrel parent compound were available. More recently, the investigation of food intake influence on the bioavailability of clopidogrel has been investigated. The results obtained by Nirogi et al.1 indicate that in the fed state the bioavailability of a single oral dose of clopidogrel increases dramatically (500 - 600 %) but the systemic exposure to the major but inactive carboxylic acid metabolite increases only by approximately 10-20 %. The current Summary of Product Characteristics (SPC) for the originator states that clopidogrel should be given as a single daily dose of 75 mg with or without food.

4.1.3 Regarding bioanalytical methods, are there any special requirements to ensure that the risk of back-conversion of the major metabolite to clopidogrel could be excluded?

Within several centralised clopidogrel applications, the CHMP raised concerns about the possible back-conversion of the major metabolite of clopidogrel (clopidogrel carboxylic acid) to clopidogrel during the bio-analytical analysis of the samples. Considering that plasma levels of clopidogrel carboxylic acid observed in patients or healthy volunteers treated with clopidogrel are much higher than that of the parent drug, a minimum back-conversion of the metabolite could potentially lead to a huge over-estimation of clopidogrel plasma levels and would bias the outcome of bioequivalence study.

The EWP-PK subgroup confirmed that back-conversion could potentially occur when methanol is used as (part of) extraction solvent, reconstitution solvent, chromatography mobile phase or for the preparation of calibrators, quality control (QC) solutions and internal standards during bioanalysis. Therefore, testing for the back-conversion of clopidogrel carboxylic acid metabolite should be part of the validation process of analytical methods used for the measurement of clopidogrel plasma levels.

It should be demonstrated that there is no back-conversion of the major metabolite to the parent drug clopidogrel under all conditions for sample handling (including extraction procedures) and storage.

4.1.4 Could the acceptance criteria for Cmax be widened?

According to the Guideline on the investigation of bioequivalence (CPMP/EWP/QWP/1401/98 Rev 1) widening of the acceptance criteria for Cmax is possible for highly variable drug products provided that a wider difference in Cmax is considered clinically irrelevant based on a sound clinical justification. The revised Guideline on the Investigation of Bioequivalence provides detailed advice on how the acceptance criteria can be widened for highly variable drug products with a bioequivalence study of replicate design and using the scaled-average-bioequivalence approach. However, a prerequisite for widening the acceptance criteria is that a wider difference in Cmax is considered clinically irrelevant. This issue was assessed by the EWP-CVS subgroup.

The EWP-CVS subgroup evaluated the request from widening the 90% confidence interval for Cmax from the efficacy and safety perspectives. The EWP-CVS subgroup considered what would be the degree of the impact of the possible variations in the Cmax following the 75 mg dose, since some data suggest the existence of a plateau response in the inhibition of platelets aggregation. However, it is currently not entirely clear what would be the influence of variable clopidogrel concentrations on pharmacodynamics. It is important to note that clopidogrel is approved and recommended for use in acute clinical conditions, for which a high loading dose is advised in order to attain a fast antiplatelet action. Whether in these situations a lower Cmax might be of clinical relevance is unknown, but cannot be completely excluded.

In conclusion, it is not definitely proven that widening Cmax acceptance range for clopidogrel is devoid of clinically relevant implications, both in terms of safety and efficacy, for all situations where the drug is used in clinical practice. Under these circumstances, the widening of 90% confidence intervals for Cmax is not recommended.

References

1. Nirogi, RV et al. (2006) Effect of food on bioavailability of a single oral dose of clopidogrel in healthy male subjects Arzneimittelforschung 56(11); 735-9

Which analyte, parent and/or metabolite, should be used for the decision of bioequivalence in the case of losartan, and which acceptance criteria should be applied?

Bioequivalence for losartan should be proven based upon parent data. Regarding what acceptance criteria to apply, the submitted documents do not allow any conclusion to be drawn on this and consequently a conservative approach using 90% CI of 80 – 125% for AUC and Cmax applies.

Discussion

Losartan is not a pro-drug. It is an angiotensin II antagonist at the AT1-subtype receptor. In humans, losartan competitively binds to the AT1 receptor, while the metabolite E3174 binds non-competitively.

The active metabolite E3174 is not directly formed from losartan, but from an intermediate product, metabolite E3179. Alternatively, the E3179 intermediate can also be hydroxylated to an inactive metabolite. It has been estimated that about 14% of the orally administered losartan dose is converted into E3174. In addition, 5 other minor metabolites exists that exhibit activity but much less than parent.

AUC of the active metabolite is 4 – 8 fold higher than parent, as it is cleared about 10-fold slower than parent.

Plasma free fractions of parent are 1.3% and that of the active metabolite 0.2%. Losartan and its metabolite E3174 shows linear pharmacokinetics.

It has been shown in vitro that the IC50 for binding to the AII receptor in smooth muscle cells is 10-fold more potent for the metabolite than parent and that the in vitro AII concentration dependent contractile response in rabbit aorta is 33-fold higher for the metabolite. In vivo, in normotensive and renal hypertensive rats, the active metabolite has been shown to be 15 – 20-fold more potent compared to the parent.

Based on in vivo studies in rat, in which the potency was 15 – 20-fold higher for the metabolite, and assuming a more or less comparable protein binding as that observed for human plasma (literature indicated for losartan a binding >99% in rat plasma), the metabolite activity is about 76 – 100-fold higher than the parent compound.

Hence, based on total exposure (AUC), the metabolite accounts for the majority of the activity. However, losartan and the active metabolite have different plasma-concentration time course, with considerably higher losartan plasma concentrations during the first hours after administration. Considering the plasma concentration time course, difference in activity and protein binding, losartan may account for a large part of the activity during the first hour after the first drug administration, and at losartan tmax, which occur after about one hour, contribution to activity may be almost equal for losartan and the metabolite. Thereafter, the metabolite's contribution to activity is much larger.

As the active metabolite E3174 is formed via an intermediate product and not direct from the parent, the pharmacokinetic data for metabolite E3174 may not reflect the rate of absorption of parent.

The reference product Neoral soft gelatine capsule concerns a specific formulation of ciclosporin which undergoes microemulsification process at administration (in the presence of water). For Neoral, the SmPC indicates a 33% decrease in Cmax and a 13% decrease in AUC, in case the product is taken with a high fat meal.

As indicated in the ICH M13A Guideline Bioequivalence for Immediate-Release Solid Oral Dosage Forms (section 2.1.5), for products with complex formulation and/or manufacturing methods (high-‑risk products), like Neoral, bioequivalence studies should be conducted under both fasting and fed conditions, irrespective of the drug product labelling with regard to food intake, if safety permits.

As EWP has defined ciclosporin to be a NTID, for which both AUC and Cmax are important for safety and efficacy, a narrowed (90.00-111.11%) acceptance range should be applied for both AUC and Cmax, under fasting as well as under fed conditions, in line with the Guideline on the investigation of bioequivalence (CPMP/EWP/QWP/1401/98 Rev 1.).

Although a generic product with a reduced food effect could be considered an improvement, this would not be considered acceptable for a 'generic application', but could be considered for a “hybrid” application, article 10(3) with additional data to support an application under this legal basis.

What do I need to consider in generic applications referring to an oily 'liquid composition' in a soft gelatine capsule?

The capsule filling of both the generic and the innovator product should comprise 1000 mg of the liquid active substance, (omega-3 fatty acid ethyl esters), without any excipients. The active substance should fully comply with the Ph. Eur. monograph on Omega-3 fatty acid ethyl esters (EE) which describes an active substance including an allowed (although not defined) low amount of antioxidant.

Hence, the gelatin capsules only included the oily, liquid active substance, (omega-3 fatty acid ethyl esters). However, the liquid active substance contains a slightly different amount of antioxidant alpha-tocopherol (as 70% in vegetable oil). Furthermore, the composition of the capsule itself was roughly the same as for the innovator product but with a slight difference in the amount of glycerol.

This particular situation is not addressed in the ICH M13A Guideline on bioequivalence for immediate-release solid oral dosage forms (EMA/CHMP/ICH/953493/2022), i.e. a generic application referring to an oily 'liquid composition' in a soft gelatin capsule.

4.4.1 Would a biowaiver be acceptable in this specific type of medicine formulation if fast and comparable disintegration of the capsules has been demonstrated over the whole physiological range (pH 1 – 6.8)?

Bioequivalence (BE) is a means to detect potential formulation differences between generics and innovators. This implies that formulation differences are expected due to e.g. different excipients (quantitatively and/or qualitatively) and/or different manufacturing processes.

Since the oily content of both capsule products including an allowed amount of antioxidant is considered the active substance (PhEur monograph), a different formulation effect cannot be assumed. Hence, requesting in vivo BE between test and reference could hardly be justified as both capsules would contain the same amount of actives within accepted limits of variability without excipients potentially causing different formulation effects. The possibility of different amounts of impurities is expected to be controlled via the monograph, i.e. this could not be the reason for a BE study as it refers to the active substance rather than the formulation.

Therefore, simple characterisation of capsule quality by comparative disintegration tests is deemed sufficient. It should however be noted that the disintegration of capsule shells cannot be used as a BE tool as such as it has no relation to any in vivo parameter, but simply describes capsule quality.

In summary, a biowaiver would be acceptable in this specific type of drug formulation if fast and comparable disintegration of the capsules has been demonstrated over the whole physiological range (pH 1 – 6.8). Since the liquid oily active substance of the capsules filled with omega-3 fatty acid EEs will be directly available for absorption after rupture and disintegration and a different formulation effect cannot be expected from the allowed antioxidant, in vivo BE study could be waived.

4.4.2 If a bioequivalence trial is required, what would be the preferred study design (fed or fasted)? In the case of fasted state conditions, would it be possible to determine bioequivalence between medicines including in the analysis subjects that have presented erratic absorption profiles, for which the extrapolation AUCt-inf could not be estimated or was >20% in more than 50% of the subjects?

Should in vivo BE trial be requested, it should be performed under fed conditions for the following reasons:

  • Plasma concentrations are markedly higher under fed conditions than those quantified in the fasted state,
  • Plasma concentrations in the fasted state are rather low and erratic. Unreasonably low values within the PK profiles render them invalid as they indicate the measurements of physiological processes rather than pharmacokinetics.

The last point was addressed in the paragraph above. However, since this is considered a general question not particularly related to the omega-3 fatty acid ethylesters in a soft gelatine capsule, it is further discussed below.

Subjects for which erratic absorption prevent the calculation of extrapolated AUC and/or for which the residual area is more than 20% should still be included in the regular calculations and evaluation of AUC0-t since this is the most relevant pharmacokinetic parameter to compare extent of absorption (see section 2.2.2.2 in the ICH M13A Guideline on bioequivalence for immediate-release solid oral dosage forms (EMA/CHMP/ICH/953493/2022)). However, the cited guideline clearly states that when this is true “in more than 20% of the observations, then the validity of the study may need to be discussed” (see section 2.2.2.2 Pharmacokinetic analysis). Hence, only in exceptional cases it could still be possible to accept an extrapolation larger than 20% in a significant number of subjects (>20% of the subject's concentration - time profiles) if it is justified that AUC0-t has been calculated reliably and it is representative of the extent of drug absorption from the products under comparison. Of note, if the AUC is truncated at 72 hours for long half-life drugs, the primary AUC parameter for analysis is AUC(0-72h) and AUC(0-inf) is not required.

The clinical development plan for Quetiapine Lambda 200, 300, 400 mg prolonged release tablets consisted of a single-dose study under fasting and fed conditions with 200 mg strength in healthy volunteers and a multiple-dose study with the highest, 400 mg tablet in schizophrenic patients.

The application for the 300 and 400 mg strength was referred to the CMDh. The PKWP input was sought on the following points:

1. Clinical development plan: the need for single dose bioequivalence studies in all strengths, where single-dose study under fasting and fed conditions with 200 mg strength in healthy volunteers and a multiple-dose study with the highest, 400 mg tablet in schizophrenic patients have shown bioequivalence,

2. The need for inclusion of early time points in the calculation of f2 values for a prolonged release tablet in in-vitro dissolution data supportive of a biowaiver.

The PKWP acknowledged the following limitations:

  • Single dose studies with doses higher than 200 mg are not feasible in healthy volunteers due to unacceptably severe adverse effects,
  • Multiple dose studies with doses equal to or higher than 200 mg are not feasible in healthy volunteers due to unacceptably severe adverse effects,
  • Single dose studies in patients are not feasible due to ethical reasons (interruption of treatment).

Hence, the PKWP's feedback was based on the assumption that it was not possible to conduct the study with the 300mg dose.

4.5.1. Would a multiple dose study in the highest strength be considered sufficient to demonstrate bioequivalence despite differences in the dissolution profiles, in case where a single-dose study can be waived because of safety reasons?

Overall in vivo and in vitro evidence provided points to a positive answer to this question: a multiple dose study in the highest strength can be considered sufficient to demonstrate bioequivalence despite differences in the dissolution profiles (which can be explained because the dissolution profiles become similar when tested at the same dose level per vessel), in case where a single-dose study can be waived because of safety reasons, taking also into consideration the demonstrated BE in the single dose study with the 200 mg strength and a bracketing approach between the 200 and 400 mg strengths. This conclusion cannot be generalised and a case by case approach will be needed in similar situations.

Discussion

In the case of Quetiapine Lambda the following statement from the Note for guidance on modified release oral and transdermal dosage forms: Section II (pharmacokinetic and clinical evaluation) - Superseded: Section II (pharmacokinetic and clinical evaluation (CPMP/EWP/280/96) applies:

In case of prolonged release single unit formulations with multiple strengths, a single dose study under fasting conditions is required for each strength. Studies at steady state may be conducted with the highest strength only if the same criteria for extrapolating bioequivalence studies are fulfilled as described in the Note for Guidance for immediate release forms (linear pharmacokinetics, same qualitative composition, etc.).

Therefore, the following is required:

  1. Waive multiple dose studies for the 200 mg and 300 mg strengths based on conditions applicable to IR forms as per the Guideline on the investigation of bioequivalence currently in force. All conditions were fulfilled except for dissolution (see below).
  2. Waive single dose studies for the 300 mg and 400 mg studies based on exceptional circumstances: single dose studies are not feasible both in healthy volunteers and patients (see above). In this case the same rules for waiving different strengths should apply.

As a consequence, the only outstanding issue was the comparison of dissolution profiles.

Overall the dissolution data raised doubts on the extrapolation of the BE results only from the 400 mg and the 200 mg strengths because the comparison of 200 mg vs. 400 mg at pH 4.5 and 6.8 does not meet the f2 criterion. On the contrary, bioequivalent (BE) results could be extrapolated to the 300 mg strength on the basis of dissolution data since respective comparisons complied with the f2 criterion.

It was then investigated whether the differences in the dissolution data were due to an active substance effect (as a result of lack of sink conditions) or a formulation effect. As for the lack of sink conditions, the results of a comparison of equivalent strengths of the test product (TP) (2X200 mg vs. 1X400 mg) at pH 4.5 and 6.8 suggested that the noncompliant results could be explained by an active substance effect, not by a formulation effect. However, the results of a comparison of the 200 mg strength of the reference product (RP) the 400 mg strength of the RP at pH 4.5 and 6.8 did not suggest an active substance effect.

Given the exceptional circumstances that the single dose studies cannot be conducted in patients and that the studies with doses higher than 200 mg cannot be conducted in healthy volunteers, only a multiple 200 mg dose study in patients could have clarified these findings. . However, this study would not be ethically acceptable since there was direct evidence that the lack of comparability between 200 mg and 400 mg in the TP was due to the solubility of the active substance, whereas the formulation effect was based on an indirect observation that this was not the case for the RP.

Moreover, BE results should prevail over dissolution data and the 200 mg strength of the TP was BE to the 200 mg strength of the RP, inasmuch as the 400 mg strength of the TP was BE to the 400 mg strength of the RP.

Finally, a bracketing approach could be applicable in this situation since studies were available at the extreme of the strength interval (200 and 400 mg).

4.5.2 Is it acceptable and/or needed to include early time points of the dissolution profiles in the calculation of f2 values for a prolonged release tablet? Because f2 values are sensitive to the choice of dissolution time points, what recommendations can be made for prolonged release tablets in order to reliably conclude that the dissolution profiles can be considered similar?

In this case the 2 h time point should not be omitted not only because there was no scientific reason to exclude it but because the amount released was considered relevant.

The choice of early time points in a comparative dissolution profile test should be based on the relevance (mainly amount released and release controlling mechanism). On the other hand, the conditions stated in Appendix 1 of the Guideline on the investigation of bioequivalence (CPMP/EWP/QWP/1401/98 Rev. 1/ Corr) should be complied with, namely

  • A minimum of three time points (zero excluded)
  • The time points should be the same for the two formulations
  • Twelve individual values for every time point for each formulation
  • Not more than one mean value of > 85% dissolved for any of the formulations.
  • The relative standard deviation or coefficient of variation of any product should be less than 20% for the first point and less than 10% from second to last time point.

Discussion

The design of a study comparing two dissolution profiles should take into account, among other factors, the inclusion of relevant sampling time points. It is perfectly reasonable to use 2 h as a first time point in a dissolution test running over 24 h. In the case at hand at 2 h already a relevant amount (10 to 15 %) of the active has been released. On the other hand, early time points, even in the case of a sustained release dosage form, are important in revealing release differences between the products under comparison, because the mechanism controlling the release of the active substance is present from the start.

Even though the choice of sampling time points could be questioned, there is no scientific reason to exclude valid data in a calculation.
 

Bioequivalence data for inactive pro-drugs in relation to both parent drug and metabolite

The ICH M13A Guideline on bioequivalence for immediate-release solid oral dosage forms (EMA/CHMP/ICH/953493/2022) states “Demonstration of BE should be based on the analysis of the parent drug because the concentration-time profile of the parent drug is usually considered more sensitive to detect a difference between formulations than metabolite data. This also applies to prodrugs. However, some prodrugs are rapidly eliminated resulting in difficulties in demonstrating BE based on parent drug data, as the parent drug levels are too low to allow reliable bioanalytical measurement. In this situation, it is acceptable to demonstrate BE based on a primary metabolite, i.e., a first-step metabolite of the parent drug, without measurement of the parent compound.” Hence, although the guideline recommends the use of parent compound also for inactive pro-drugs, exceptions are possible. The acceptability of use of main active metabolite instead of parent compound will be determined based both on the feasibility of measuring parent compound and on the pharmacokinetic characteristics for parent compound and active metabolite. For pro-drugs with a very large difference in exposure between parent and active metabolite and where the pro-drug is quickly eliminated, it is expected that there can be difficulties in demonstrating bioequivalence for parent compound and demonstration of bioequivalence based on active metabolite alone can be accepted.

For mycophenolate mofetil (MPM) specifically, the parent compound undergoes extensive presystemic metabolism to the active metabolite MPA.Moreover, MPM half-life is very short (0.60 to 1.20 h as reported) resulting in approximately 12000- and 6000-fold lower AUC and Cmax respectively, for parent compound compared to metabolite. MPM has a tmax of 0.5 h and a t1/2 of less than 1 h, which limits the characterisation of the early plasma concentrations. As a consequence reliable estimation of Cmax will be difficult. “In this situation, it is acceptable to demonstrate BE based on a primary metabolite, i.e., a first-step metabolite of the parent drug, without measurement of the parent compound” as stated in the ICH M13A Guideline on bioequivalence for immediate-release solid oral dosage forms (EMA/CHMP/ICH/953493/2022).

4.6.2 Is it acceptable not to follow this recommendation and use only metabolite data to demonstrate bioequivalence between two products of the same pro-drug mycophenolate mofetil, even when current analytical assays allow measuring the parent with acceptable sensitivity?

A recommendation leaves room for an exceptional decision on a case by case basis. In this case it is clear that the parent compound is inactive and completely converted into the active metabolite yielding a 12000 fold difference in AUC. Due to this, demonstration of bioequivalence between two products of the same pro-drug can be based on metabolite data only. The argument that current analytical assays allow measuring the parent with acceptable sensitivity cannot be readily taken considering the short tmax and t1/2 of the parent compound which will limit a reliable estimation of Cmax of the parent compound.

Is it acceptable for a generic application for inactive pro-drugs to demonstrate bioequivalence based on either the parent ebastine or on the active metabolite carebastine, provided proper justification in the study protocol has been provided, or can only one of these analytes be used?

In the context of the ICH M13A Guideline on bioequivalence for immediate-release solid oral dosage forms (EMA/CHMP/ICH/953493/2022), the parent compound ebastine can be considered to be an inactive pro-drug as it has no or very low contribution to clinical efficacy1-6.

Demonstration of bioequivalence for parent compound is recommended for inactive pro-drugs. {removal of ‘high number of subjects} Ebastine has very low plasma concentrations, is rapidly and extensively metabolised resulting in highly variable plasma concentrations of the parent compound, resulting in a higher variability in pharmacokinetics than carebastine. Therefore, bioequivalence studies using carebastine for bioequivalence evaluation would be considered acceptable to detect formulation related differences between a test and a reference.

In summary, in accordance with ICH M13A Guideline on bioequivalence for immediate-release solid oral dosage forms (EMA/CHMP/ICH/953493/2022), it would be acceptable to demonstrate bioequivalence based on the pharmacokinetics of the active metabolite carebastine. However, in case an application is submitted solely with data on the parent ebastine, it is also acceptable to demonstrate bioequivalence based on the pharmacokinetics of the parent ebastine. In case both ebastine and carebastine are analysed, the analyte to be used for bioequivalence evaluation should be prospectively defined in the protocol.

Background

The ICH M13A Guideline on bioequivalence for immediate-release solid oral dosage forms (EMA/CHMP/ICH/953493/2022) states that:

“Parent vs. metabolite

Demonstration of BE should be based on the analysis of the parent drug because the concentration-time profile of the parent drug is usually considered more sensitive to detect a difference between formulations than metabolite data. This also applies to prodrugs. However, some prodrugs are rapidly eliminated resulting in difficulties in demonstrating BE based on parent drug data, as the parent drug levels are too low to allow reliable bioanalytical measurement. In this situation, it is acceptable to demonstrate BE based on a primary metabolite, i.e., a first-step metabolite of the parent drug, without measurement of the parent compound.”

References

1. T. Yamaguchi, T. Hashizume, M. Matsuda, M. Sakashita, T. Fujii, Y. Sekine, M. Nakashima T. Uematsu (1994) Pharmacokinetics of the H1-receptor antagonist ebastine and its active metabolite carebastine in healthy subjects. Arzneim.-Forsch. 44(1):59-64

2. Martinez-Tobed A., Tarrús E., Segura J. Roberts D.J. (1992) Pharmacokinetic studies of ebastine in rats, dogs and man. Drugs Today 28(Suppl. B):57-67

3. Wiseman L.R. Faulds D. (1996) Ebastine: a review of its pharmacological properties and clinical efficacy in the treatment of allergic disorders. Drugs 51(2):260-277

4. Presa I.J. (1999) H1-antihistamines: a review. Alergol. Immunol. Clin. 14(5):300-312

5. Rico S., Antonijoan R.M. Barbanoj M.J. (2009) Ebastine in the light of CONGA recommendations for the development of third-generation antihistamines. J. Asthma Allergy 2:73-92

6. Wood-Baker R. Holgate S.T. Dose-response relationship of the H1-histamine antagonist, ebastine, against histamine and methacholine-induced bronchoconstriction in patients with asthma. Agents and Actions (1990) 30:1-2

CHMP has received requests for clarifications of the bioequivalence requirements for fixed dose combinations (FDC) containing a 100 mg acetylsalicylic acid (ASA) tablet with monolithic gastro- resistant coating and separate tablet/granules with the other active substance(s) encapsulated in one formulation. A substitution indication was being claimed for these.

According to CHMP guidelines1,2 and ICH M13A Guideline on bioequivalence for immediate-release solid oral dosage forms (EMA/CHMP/ICH/953493/2022) it is required for a substitution indication to show bioequivalence for all active compounds of the formulation, similarity is not sufficient. Although ASA is a well-known active substance for which various formulations in various strengths have been approved for many years, similarity in combination with a bibliographic justification is not sufficient for a substitution indication. Thus, claiming similarity to multi-source bibliographical data with various different formulations in an application file does not make it possible to extrapolate the published data to the selected product.

Therefore, for these FDC, bioequivalence should be demonstrated for each individual component of the FDC, including ASA, since the products are intended for a substitution indication.

Widening the bioequivalence acceptance limits for mean Cmax can be accepted for highly variable drugs like ASA provided that the high variability is properly justified in a replicate design study, in accordance with the bioequivalence guideline. If bioequivalence cannot be demonstrated for the reference product for the two treatment periods, then other studies should be undertaken.

Specifically if the AUC is highly variable then the sample size should be increased, while if the Cmax is variable a replicate design could be used.

The metabolism of ASA and production of the metabolite salicylic acid (SA) occurs both pre- and post- absorption, i.e. by some limited pre-absorptive hydrolysis in the stomach and also via a hepatic first- pass effect. In this second step, the metabolic conversion of salicylate and subsequent formation of conjugates and their renal excretion is dose-dependent. Thus metabolites would not be sensitive to evaluate bioequivalence of ASA products.

Hence, available study results do not justify any deviation from existing guidelines on demonstrating bioequivalence for gastro resistant ASA formulations in FDC claiming substitution indications.

References

This guideline should be read in conjunction with the guideline on ‘Equivalence studies for the demonstration of therapeutic equivalence for locally applied, locally acting products in the gastrointestinal tract' .

The iron component in ferric citrate coordination complex reacts with dietary phosphate in the gastrointestinal (GI) tract and precipitates phosphate as ferric phosphate. This compound is insoluble and is excreted in the stool thereby reducing the amount of phosphate that is absorbed from the GI tract. The scope of the present guidance is to provide possible options to establish therapeutic equivalence of products containing ferric citrate coordination complex.

Similarity of the drug substance

As ferric citrate coordination complex is a relatively complex drug substance with standardised molar ratio, which is important for the action of the drug, similarity of the drug substance should be established between the test and the reference product based on comparative physico-chemical characterisations. Based on the data generated from the characterisation, the applicant should define and prove the chemical structure and molecular formula of the test drug substance in comparison to the reference drug substance. At least three batches of the test drug substance and at least three batches of the extracted reference drug substance should be characterised to assess drug substance similarity.

  • Option 1 Biowaiver based on BCS classification

Ferric citrate coordination complex is a highly soluble substance with very low (<1%) systemic absorption and can be considered as a BCS class III substance. As such, a biowaiver can be established according to BCS classification in line with the requirements of ICH M9 guideline on biopharmaceutics classification system-based biowaivers (EMA/CHMP/ICH/493213/2018). However, in BCS III drugs that are without or with very low systemic bioavailability, such as ferric citrate coordination complex, very rapid dissolution is not essential and similar rapid dissolution is also acceptable.

  • Option 2 In vitro studies

In case a biowaiver based on BCS classification, as mentioned above, is not possible, in vitro phosphate binding studies comparing the test and reference products are considered acceptable surrogates for the assessment of efficacy, as ferric citrate coordination complex acts locally in the GI tract:

Phosphate Binding Studies

Two studies are required to compare the rate and extent of phosphate binding: (a) a comparative in vitro equilibrium binding study (pivotal) and (b) a comparative in vitro kinetic binding study.

  1. Comparative in vitro equilibrium binding study pH Range: 1.2, 3.0, and 7.5.

Strength to be tested: 1 g of ferric citrate coordination complex (equivalent to 210 mg of ferric iron). Whole tablets should be used.

Phosphate concentrations to be used: Test and reference products should be incubated with at least 8 phosphate concentrations at each pH level. Maximum phosphate binding (attainment of plateau) should be clearly demonstrated prior to selecting these eight phosphate concentrations for the study. Phosphate concentrations should be spaced until the maximum binding is clearly established.

Incubation conditions: All incubations should be conducted at 37°C. Wait at least one hour until equilibrium pH has been reached. The pH should be monitored and adjusted every 15 minutes if needed. Data should be provided demonstrating that the length of time selected for incubation with the phosphate-containing medium yields maximum binding.

Additional Data: Each binding study should be repeated at least 12 times (12 replicates at each pH at each concentration level).

Results Evaluation: The Langmuir binding constants k1 and k2 should be determined in the equilibrium binding study. The test/reference ratio should be calculated for k1. The 90% confidence interval should be calculated for k2, with acceptance criteria of 90% to 111.11%.

  1. Comparative in vitro kinetic binding study pH range: 1.2, 3.0, and 7.5.

Strength to be tested: 1 g of ferric citrate coordination complex (equivalent to 210 mg of ferric iron). Whole tablets should be used.

Phosphate concentrations to be used: the lowest concentration, the mid concentration (approximately 50% of the highest concentration) and the highest concentration of the corresponding equilibrium binding study should be used to incubate whole tablets at each pH level.

Incubation conditions: All incubations should be conducted at 37°C under constant gentle shaking, and each binding study should be repeated at least 12 times (12 tablets at each concentration).

Evaluation of results: Ferric citrate-phosphate binding should be monitored as a function of time. At least eight time points should be chosen up to 24 hours that adequately address binding under each condition. The test/reference bound phosphate ratios at the various times should be compared but not subjected to the 90% confidence interval criteria.

Analytical Method Considerations: The ferric citrate complex is achiral and therefore an enantioselective analytical method is not required. The analyte will be the unbound phosphate in filtrate in order to calculate phosphate bound to ferric citrate in the relevant biological fluid

References

  • Ronald A. Swearingen, Xi Chen, John S. Petersen, Kristine S. Riley, Donghui Wang, Eugene Zhorov “Determination of the Binding Parameter Constants for Renagel® Using the Langmuir Approximation at Various pH Values by Ion Chromatography.” J. Pharm. Biomedical Anal. 29 (2002), pp. 195-201.
  • FDA, Draft Guidance on Lanthanum Carbonate Recommended Aug 2011; Revised Nov 2013, May 2017.
  • Yongsheng Yang, Rakhi B. Shah, Lawrence X. Yu, and Mansoor A. Khan In Vitro Bioequivalence Approach for a Locally Acting Gastrointestinal Drug: Lanthanum Carbonate Mol.Pharmaceutics 2013, 10, 544?550.

Q1. Does the PKWP agree that the PK/PD characteristics of iron are such that comparative PK studies/BE studies are not an accurate measure of similarity between iron formulations intended for oral use (sulfates, fumarates and gluconates)?

It is to be noted that for the purpose of this reply, PKWP will address general issues related to oral ferrous salts such as sulfates, fumarates and gluconates salts. Thus discussion on ferric citrate and IV forms is not addressed. In addition, the reply concerns products that are approved as medicinal products (not nutritional supplements). These products are indicated for the treatment or prophylaxis of iron deficiency anaemias.

The site of action of iron is in erythrocytes and involves a saturable active transport process. Since the process of erythropoiesis takes 3-4 weeks, iron utilization from the time of administration only peaks after approximately 2-3 weeks. In addition, iron levels can also be affected by the presence of endogenous iron (Cao et al., 2011; Geisser et al., 2009) and so conventional PK markers may not provide meaningful estimates of iron utilized within the erythrocyte for haemoglobin synthesis or the amount of iron incorporated in the storage protein ferritin.

However, with respect to determining relative bioavailability of ferrous salts, short term AUC data can provide information about absorption and transport processes, even if the fixed-rate physiological uptake route for iron results in a nonlinear pharmacokinetics model (Wienk et al., 1999; Potgieter, M.A et al., 2007). Thus it can be concluded that plasma iron levels may be useful in a clinical setting when comparing the pharmacological bioavailability of different iron preparations, provided that the pharmacokinetic characteristics of these preparations are similar.

When it comes to bioequivalence, plasma levels provide reassurance of similar absorption, efficacy and safety when compared with those of the reference if these have the same type of salt. In addition, for bioequivalence studies, since the same quantity of salt in comparable formulations are compared, analysis may be possible on total iron. If serum concentrations are similar then it can be expected that the total iron transfer will be also similar (Geisser and Burckhardt, 2011). Thus it can be concluded that comparative pharmacokinetic / bioequivalence studies based on iron serum and total iron + transferrin-bound iron (NTBI) can be used to compare the in vivo performance and bioequivalence of products with the same type of release containing the same salt, as it has been conducted by Cao et al., 2001 or Zhang et al., 2009. This could also be applicable to products with different salts where it can be demonstrated that they do not differ significantly in properties with regards to pharmacokinetic characteristics, safety and/or efficacy.

Q2. Does the PKWP agree with the WHO publication that all ferrous salts can be considered to be BCS Class III?

Ferrous salts are poorly absorbed and thus cannot be classified as highly permeable (BCS class I or II). The highest dose is soluble in 250ml of buffers of low pH, however, solubility decreases at pH 5 – 7 for these salts i.e. duodenal pH (Wheby, 1970). Thus according to the BE Guideline, ferrous salts cannot be considered BCS Class III substances either.

Thus based on the impaired solubility PKWP does not agree that all ferrous salts can be considered as BCS Class III.

Q3. If it is decided that ferrous salts cannot be considered to be BCS Class III and that bioequivalence data are required (as bridging data and/or in generic applications), given the particular PK/PD characteristics, does PKWP agree that standard criteria do not apply to iron formulations regardless of the salt? If so, is there a suitable alternative method of assessing similarity between different iron products?

Iron tablets do not meet the requirements of a BCS biowaiver as set out in the “ICH M9 guideline on biopharmaceutics classification system-based biowaivers (EMA/CHMP/ICH/493213/2018)”.

Bioequivalence studies with the conventional methodology for an endogenous substance and acceptance range can be used if test and reference contain the same salt. If different salts are employed demonstration of therapeutic equivalence by means of clinical or pharmacodynamic endpoints may be necessary, unless otherwise justified.

References

Cao GY, Li KX, Jin PF, Yue XY, Yang C, Hu X. Comparative bioavailability of ferrous succinate tablet formulations without correction for baseline circadian changes in iron concentration in healthy Chinese male subjects: a single-dose, randomized, 2-period crossover study. Clin Ther. 2011; 33:2054-9.

Geisser P and Burckhardt S. The Pharmacokinetics and Pharmacodynamics of Iron Preparations. Pharmaceutics 2011; 3: 12-33.

Geisser P and Philipp E. True Iron Bioavailability, Iron Pharmacokinetics and Clinically Silent Side Effects. Nutrition Immunity & Health 1, 2009: 3-12.

Jacobs P, Fransman D, Coghlan P. Comparative bioavailability of ferric polymaltose and ferrous sulphate in iron-deficient blood donors. J Clin Apher. 1993; 8: 89-95.

Potgieter MA, Potgieter JH, Venter C, Venter JL, Geisser P. Effect of oral aluminium hydroxide on iron absorption from iron(III)-hydroxide polymaltose complex in patients with iron deficiency anaemia: A single-centre randomized controlled isotope study. Drug Res. 2007; 57: 392-400.

Wheby MS. Site of iron absorption in man. Scand J Haematol. 1970; 7: 56-62.

Wienk KJ, Marx JJ; Beynen AC. The concept of iron and its bioavailability. Eur J Nutr. 1999; 38: 51-75.

Zhang YY, Liu JH, Su F, Lui YT, Li JF. Single-dose bioequivalence assessment of two formulations of polysaccharide iron complex capsules in healthy adult male Chinese volunteers: A sequence-randomized, double-blind, two-way crossover study. Curr Ther Res Clin Exp. 2009; 70(2):104-15.

What is the recommendation on the most sensitive analyte (parent compound or main metabolite beclomethasone-17-monopropionate) and the required studies (with and/or without charcoal block) for establishing therapeutic equivalence by means of pharmacokinetic data for orally inhaled products containing beclomethasone dipropionate?

Beclomethasone dipropionate (BDP) is a pro-drug with weak glucocorticoid activity which is rapidly hydrolysed via the esterases to the major metabolite beclomethasone 17-monopropionate (B17MP) and two minor metabolites. The oral bioavailability of BDP is negligible, therefore the presence of BDP in plasma is primarily a result of absorption from the lungs. Reliable characterisation of BDP is challenging due to its short-lived nature and rapid peak exposure requiring early and frequent blood sampling as well as sufficiently sensitive bioanalytical assay. Furthermore, less than optimal sampling can lead to very high intrasubject variability requiring large numbers of subjects to demonstrate bioequivalence. However, knowledge from recent applications have shown that it was possible to improve the sensitivity of the bioanalytical assay which allows reliable characterisation of BDP levels following lung absorption. Results also indicated that the variability for BDP parameters wasn’t significantly higher than that for B17MP.

The PKWP considers that, given the improvement in assay sensitivity, it is possible to measure parent BDP with sufficient accuracy and without too much variability evident in the parameters and that this will be the most sensitive to detect differences in formulation. The rapid metabolism of the parent drug (short half-live) makes Cmax of the parent more sensitive to detect differences in the rate of absorption and pattern of deposition within the lungs. It is therefore recommended that parent BDP be the primary analyte for assessing lung deposition. Given the extensive first pass metabolism, only a study without charcoal block is required. On the other hand, systemic absorption of 17-BMP arises from both lung deposition and oral absorption of the swallowed dose as the B17MP possesses significant oral bioavailability (~40%). To support equivalent systemic safety, an analysis of metabolite (B17MP) will also be required from the same study.

Although it is considered that improvement in assay sensitivity could facilitate reliable characterisation of BDP profiles, in order to measure parent careful design of the clinical study will be required to ensure the Cmax is captured. Commencement of blood sampling immediately after the administration of inhaled product is strongly recommended; within 1-2 mins after the end of the inhalation(s) and with frequent sampling in the first 10-15 mins. Note that sampling times, like other PK studies, should be described in relation to initiation of treatment. In addition, the time to complete the administration of treatment should be reasonably standardised and adequately described.

The product-specific guidance document for dabigatran etexilate (EMA/151692/2025 Rev. 1)  recommends two comparative bioavailability studies: a study under fasting conditions and a study with proton pump inhibitors.

Background

Dabigatran etexilate is the orally bioavailable prodrug of dabigatran, an active anticoagulant. It is available as an immediate release formulation, containing 75 mg, 110 mg or 150 mg in hard capsules for oral administration. Solubility of dabigatran etexilate is strongly pH-dependent with increased solubility at acidic pH. It became clear early in clinical development that co-medication with proton pump inhibitors reduced the bioavailability of dabigatran and that this decrease in bioavailability could be influenced by the formulation of the product. Pradaxa® is a formulation that allows co-medication with proton pump inhibitors.

Can a study under fed conditions replace the comparative bioavailability study with proton pump inhibitors?

No, in vivo bioavailability studies using various prototype formulations showed that the effect of proton pump inhibitors on the bioavailability of dabigatran was different from the effect of food on the bioavailability of dabigatran. As indicated in the ICH M13A Guideline on bioequivalence for immediate-release solid oral dosage forms (EMA/CHMP/ICH/953493/2022), additional bioequivalence studies may be required for products with specific formulation characteristics. In the case of Pradaxa®, the specific formulation characteristics provides high dabigatran bioavailability in presence of proton pump inhibitors. Therefore, the additional bioequivalence study is a comparative bioavailability study in presence of proton pump inhibitors.

A waiver for this PPI study may be applicable if it can be shown that the products are manufactured using the same technology and if excipients that might modify gastric pH are qualitatively the same and quantitatively similar between test and reference product.

Can dissolution tests at various pHs replace the comparative bioavailability study with proton pump inhibitors?

No, there is insufficient information on the relationship between in vitro dissolution of dabigatran etexilate and in vivo bioavailability of dabigatran in presence of proton pump inhibitors to establish an in vitro in vivo correlation (IVIVC) or a simple rank order correlation.

Acceptance criteria. Does bioequivalence need to be demonstrated in presence of proton pump inhibitors or is it sufficient to demonstrate that the effect of proton pump inhibitor on the bioavailability of dabigatran is equal or less than for the innovator product?

Bioequivalence should be demonstrated. The purpose of establishing bioequivalence is to demonstrate equivalence in biopharmaceutics quality between the generic medicinal product and a reference medicinal product in order to allow bridging of preclinical tests and of clinical trials associated with the reference medicinal product. Although a generic product with even less effect of proton pump inhibitors on dabigatran bioavailability than for the reference product could be considered an improvement, this would not be considered acceptable for a generic application. A difference regarding the formulation-related proton pump inhibitor interaction indicates product differences contradicting the generic definition.

Q1. Would bioequivalence study(ies) using Esbriet® film-coated tablets as reference product be acceptable?

Reference is made to the EMA Guideline on the investigation of bioequivalence (CPMP/EWP/QWP/1401/98 Rev. 1/ Corr**) where it is stated: “In an application for extension of a medicinal product which has been initially approved under Art. 8(3) of Directive 2001/83/EC and when there are several dosage forms of this medicinal product on the market, it is recommended that the dosage form used for the initial approval of the concerned medicinal product (and which was used in clinical efficacy and safety studies) is used as reference product, if available on the market.” The same principle applies here and it is strongly recommended to use the immediate release (IR) hard capsule formulation in the bioequivalence (BE) programme as this formulation was used in the clinical idiopathic pulmonary fibrosis (IPF) studies for the originator Esbriet®.

However, this is not a line extension but a generic application and the Guideline also states: “Test products in an application for a generic or hybrid product or an extension of a generic/hybrid product are normally compared with the corresponding dosage form of a reference medicinal product if available on the market.” The originator has both capsules and tablets, i.e. two oral IR formulations, and the clinical studies were conducted with the capsules. The capsules, however, only exist in one strength while the tablets also have higher strengths. A generic application likely includes also the higher strengths, and it is then considered acceptable to perform the study compared to the originator tablet formulation, although this has been approved using bridging data only. It would also be acceptable to use the originator capsule as comparator (using multiple capsules).

Q2. Would a single bioequivalence study in fed condition be acceptable?

Since the product is recommended to be taken with food, a study in the fed state is generally recommended, unless the product is considered a high-risk product, where both fasted and fed studies would be requested. However, this does not seem to be the case here. A study in the fed state is, therefore, sufficient.

Q3. Would bioequivalence study(ies) with the highest strength only (801 mg) be acceptable?

Linear pharmacokinetics have been demonstrated following single-dose oral administration of 200-600 mg pirfenidone1. In the Marketing Authorisation Application (MAA) for the originator capsule, no significant dose dependency was identified suggesting linear pharmacokinetics up to a dose of 600 mg three time daily (Esbriet). In addition, PKWP has reviewed the data from the submitted dossier for the originator capsule and considers deviation from dose-proportional pharmacokinetics has not been observed over the dose range 801-4005 mg/day under steady-state conditions.

Linearity of pharmacokinetics was also assessed by the CHMP in the line extension application for the originator film-coated tablets. Therefore, considering the data available in the dossiers for the originator capsule and film-coated tablets, and for a substance with poor solubility and dose proportional or more than dose proportional pharmacokinetics, a bioequivalence study with the highest strength, i.e. 801 mg, is advised.

1 Huang NY, Ding L, Wang J, Zhang QY, Liu X, Lin HD, Hua WY. Pharmacokinetics, safety and tolerability of pirfenidone and its major metabolite after single and multiple oral doses in healthy Chinese subjects under fed conditions. Drug Res (Stuttg). 2013 Aug;63(8):388-95. doi: 10.1055/s-0033-1341478. Epub 2013 Apr 11. PMID: 23580109.

Q1. In the context of the assessment of an application according to Article 10(1) (generic), does the PKWP consider the Tadalafil Product-Specific Bioequivalence guidance (EMA/CHMP/315234/2014/Rev.1) applicable to the ODT test when the reference is a film-coated tablet?

The purpose of establishing bioequivalence is to demonstrate equivalence in biopharmaceutics quality between the generic medicinal product and a reference medicinal product in order to allow bridging of preclinical tests and of clinical trials associated with the reference medicinal product.

The aim of product specific guidance documents is to enable a consistent approach to the assessment of applications based on bioequivalence data. The product specific guidances are developed considering the drug substance and drug product and the pharmacokinetic and clinical data of the reference product(s) to be used to establish bioequivalence. As such the pharmaceutical dosage form of the reference product(s) is described in the product specific guidance documents.

The reference product of tadalafil is an immediate release (IR) product, film-coated tablet, with specific formulation characteristics, requiring bioequivalence studies under fasted and fed conditions and having Cmax, AUC0-72h, and median (and range) of Tmax as pharmacokinetic endpoints to conclude equivalence.

The new product is also an IR product, an ODT. As indicated in the Guideline on Investigation of Bioequivalence (CPMP/EWP/QWP/1401/98 Rev.1/Corr**) the various IR oral pharmaceutical forms are considered one and the same pharmaceutical form. Hence, for a generic Article 10(1) application, the new formulation should follow the bioequivalence criteria as indicated in the product specific guidance for tadalafil. This is independent of whether the new formulation is a film-coated tablet or an ODT.

Q2. Considering the legal basis of an application as a generic, is the parameter Tmax relevant also for bioequivalence assessment in fasting and fed between Test ODT and Reference film coated tablet?

The tadalafil product-specific bioequivalence guidance (EMA/CHMP/315234/2014/Rev.1 was revised to add Tmax as an additional main pharmacokinetic variable in the assessment of bioequivalence. In the associated Overview of comments (EMA/CHMP/644909/2017) it is stated that Tmax is considered relevant for the onset of action.

It is also stated that: It is known that the pharmacodynamic effect and the plasma concentration time profile do not follow the same pace in most drugs. This only occurs when e.g. the effect depends on the plasma concentration without any delay caused by signal transduction. Even in that case the time to the effect will not agree with Tmax since it is expected that the minimum effective concentration will be lower than Tmax. Consequently, what is described here for tadalafil is very frequent in many other drugs. It is agreed that the effect can be found much earlier than Tmax (e.g. 15-30 minutes after dosing vs. 1-2 hours) and that Cmax does not need to be reached to observe the pharmacological erectogenic effect. The fact that the pharmacological effect is observed before Tmax and is lasting after Tmax is not a reason to consider that Tmax is clinically insignificant. Tmax is considered clinically relevant because Tmax is used as a surrogate for rate of absorption and a product with a longer Tmax will reach effective concentrations (onset of action) later. For example, a product with a Tmax of e.g. 4 hours is expected to reach effective plasma concentrations (onset of action) later than a product with Tmax of e.g. 2 hours. As the onset of action is considered clinically relevant for the erectogenic effect, Tmax needs to be considered as a primary pharmacokinetic endpoint.

Therefore, considering the response to Question 1 that tadalafil ODT is an IR product and hence for a generic 10(1) application should follow the bioequivalence criteria as indicated in the product specific guidance of tadalafil, PKWP considers the parameter Tmax relevant also for the bioequivalence assessment in fasting and fed between test ODT and reference film coated tablet.

Moreover, any observed differences in plasma profiles between both formulations indicate that the products have different release behaviours, due to the formulation itself or due to the method of administration. Further, as indicated in the SmPC of the reference product, the rate and extent of absorption of tadalafil are not influenced by food, while this seems the case for the ODT formulation for Tmax. The available PK data would support that both formulations cannot be regarded as having the same absorption profiles and thus cannot be considered bioequivalent for a generic Article 10(1) application.

Betmiga (mirabegron, 25 mg and 50 mg prolonged-released-tablets) were originally approved in the EU for the symptomatic treatment of urgency, increased micturition frequency and/or urgency incontinence as may occur in adult patients with overactive bladder (OAB) syndrome (EMEA/H/C/002388/0000, approved 20 Dec 2012). The SmPC recommends taking the tablets with or without food. For approval of a generic product to a prolonged-release tablet that can be taken with or without food, bioequivalence should be demonstrated following single-dose (in fasted and in fed state) and following multiple doses (in fasted state). In case the product is to be taken with food, the multiple dose study should instead be performed in the fed state.

The EMEA/H/C/2388-X-0039-G variation was an extension application to introduce a new pharmaceutical form associated with a new strength (8 mg/ml prolonged-release granules for oral suspension) to include treatment of neurogenic detrusor overactivity (NDO) in paediatric patients aged 3 to less than 18 years. This indication has also been applied to Betmiga prolonged-release tablets, with use of the tablets in paediatric patients ≥35 kg.

Consequently, the SmPC for prolonged-release tablets has been updated to include both indications, namely OAB in adults and NDO in the paediatric population. However, the method of administration differs from one indication to the other and while for OAB in adults the tablets are to be taken irrespective of food, in the case of NDO in the paediatric population the tablets should be taken with food. Based on the available information including the clinical study reports, this is because the phase 3 clinical studies with the paediatric population had been performed in the fed situation only.

Co-administration of a 50 mg tablet with a high-fat meal reduced mirabegron Cmax and AUC by 45% and 17%, respectively. A low-fat meal decreased mirabegron Cmax and AUC by 75% and 51%, respectively. In the phase 3 studies for OAB, mirabegron was administered with or without food and demonstrated both safety and efficacy. Therefore, the observed food effect was considered not clinically relevant. This forms the basis of the original recommendation that mirabegron can be taken with or without food.

Taking the above into account, it is considered reasonable to assume that taking the tablets with food in case of NDO in the paediatric population does not result in a clinically relevant PK food effect and hence, it does not specifically need to be studied at steady state under fed conditions. It is sufficient that fed conditions is studied following single-dose administration.

In conclusion, in the case of generics of Betmiga prolonged-release tablets for the OAB and NDO indications, Applicants should conduct one study in single dose fasting state, one study in single dose fed state and one study at steady state in fasting conditions. 

  1. Rifaximin is locally acting in the intestinal lumen with very low absorption in the GI tract. In this case, can the results of the fasting and fed studies together with comparative dissolution be used as surrogates to determine therapeutic equivalence for rifaximin, in line with recommendations from the guideline on equivalence studies for the demonstration of therapeutic equivalence for locally applied, locally acting products in the gastrointestinal tract (CPMP/EWP/239/95 Rev. 1 Corr)? Or should phase III therapeutic equivalence studies with clinical endpoints be submitted? 

The product concerns an oral 200 mg tablet formulation with local action. Absorption of rifaximin is low but measurable.  

According to the guideline on equivalence studies for the demonstration of therapeutic equivalence for locally applied, locally acting products in the gastrointestinal tract, if the conditions to apply for a BCS biowaiver are not fulfilled (in the case of rifaximin because it is a BCS class IV substance) and some degree of systemic bioavailability is observed for a locally acting drug in the gastrointestinal tract, for drugs acting in the lumen or the luminal side of the membrane, like rifaximin, bioequivalence studies based on plasma levels usually in fasting and fed state could also be used as a surrogate of equivalence, under the conditions that absorption is not saturated (demonstrated, e.g., by means of a dose-proportionality study). There is no requirement for a relationship between the plasma levels and the local therapeutic effect. Instead, when the rate and extent of absorption of the drug are comparable, distribution of the drug within the different zones of the intestine are expected to be comparable. Bioequivalence studies in fasting and fed state are usually required, even for products that are recommended to be taken in fasting state only, because locally acting drugs generally have low absorption and remain in the intestinal lumen for a prolonged period. Therefore, they are expected to interact with food during their intestinal transit. 

The situation as described in the guideline is considered applicable in the current rifaximin case, and therefore registration may be based on demonstration of bioequivalence both under fasting and fed conditions. When bioequivalence has been demonstrated, clinical studies with clinical endpoints are not necessary. 

  1. In case of fasting and fed studies, is it necessary to provide further information, such as the fact that the absorption is not saturated? 

According to the guideline on equivalence studies for the demonstration of therapeutic equivalence for locally applied, locally acting products in the gastrointestinal tract, in case of the use of BE studies under fasting and fed conditions, it should indeed be demonstrated that absorption is not saturated.  

Such evidence, e.g., a dose-proportionality study, can be provided by means of a study conducted by the Applicant, but also by means of literature data.  

5. Bioequivalence in special populations

Treatment of children often requires that new formulations or strengths are developed. If chemical-pharmaceutical data are not considered sufficient to establish bioequivalence should bioequivalence studies be conducted in children or would healthy volunteers suffice?

In vivo bioequivalence is almost always established in healthy volunteers unless the drug carries safety concerns that make this unethical. This model, in vivo healthy volunteers, is regarded adequate in most instances to detect significant formulation differences and the results will allow extrapolation to populations in which the drug is approved (the elderly, patients with renal or liver impairment etc.). The same reasoning applies also to children. Hence, in the vast majority of cases bioequivalence studies in healthy volunteers are adequate for products intended for use in children.

5.2.1 Why does the guideline state in Sections 3.4 and 4.1 that it is the free fraction of the drug and metabolites that is to be determined?

Sections 3.4 and 4.1 of the present guideline clearly state that in the hepatic impairment study groups, the free fraction should be determined if the substance(s) measured are highly bound to plasma proteins.The protein binding may be reduced in hepatic impairment. If using total concentration, an increase in the therapeutically relevant free concentration can be masked or underestimated as both the protein bound fraction and hepatic function are affected. No recommendation can be based on the total concentration in this situation. It has been noted that applicants have not observed this requirement resulting in submission of inconclusive studies.

5.2.2 Why does section 2 of the guideline state that biliary secreted drugs should be studied?

In section 2 of the guideline it is stated that biliary secreted drugs should be studied. Biliary secretion as well as hepatic metabolism can be affected by hepatic impairment. Furthermore, in reviewed NCE applications, very marked increases in exposure have been found for drugs subject to extensive hepatic uptake, when given to patients with hepatic impairment due to hepatitis C. In view of these findings it is particularly important to study the effect of hepatic impairment in drugs subject to hepatic uptake.

5.2.3 How should the subjects to be included in the hepatic impairment (HI) study be selected?

The subjects included in the hepatic impairment study should be representative for the actual class, e.g. if moderate impairment is investigated, the subjects should have Child-Pugh scores covering the range of moderate impairment and being spread over the range.

5.2.4 How should hepatic impairment be classified?

Presently, the Child-Pugh classification is being proposed as the most widely used to categorise hepatic function. Presenting the pharmacokinetic effect as a function of the biochemical Child-Pugh components (e.g. S-albumin, bilirubin, prothrombin time, etc.) is encouraged in the guideline. Research in this area is on-going.

5.2.5 What is the role of physiologically based pharmacokinetics (PBPK) when estimating the effect of hepatic impairment?

In Section 3.6, the guideline makes a short statement on the use of PBPK as a tool. Predicting the effects of hepatic impairment by PBPK is an interesting application of PBPK and there is a great deal of ongoing research in this area. However at the present time due to low confidence in the use of PBPK modelling to predict hepatic impairment, it is considered that there is no need to revise the general information given on PBPK modelling.

6. Biowaivers

The CMDh asked for a view on the extent to which the results reported by Chen et al (1) regarding the effect of sorbitol on bioavailability of metoprolol, taken together with relevant regulatory experience regarding the influence of sorbitol on the oral bioavailability of drug substances, are applicable to other highly permeable drug substances (BCS class 1 and 2).

There is scarce information in the literature1-5 regarding the effect of sorbitol on the absorption of BCS class I and II (highly permeable drug substances). The article by Chen et al1 (showing no effect on metoprolol absorption) and another one by Fassihi2 (showing no effect on Cmax or AUC but an effect on Tmax of theophylline upon 10 g of sorbitol) are worth mentioning.

In Chen et al's article1, the effect of sorbitol on the absorption of metoprolol (BCS class I) and ranitidine (BCS class III) has been studied. No significant effect of sorbitol (5 g) on the extent (AUC) and a 23% reduction in rate (Cmax) of absorption of a single dose of metoprolol has been recorded, whereas a significant effect has been observed on both AUC and Cmax (44% and 51% reduction, respectively) when sorbitol (5 g) and ranitidine (BCS class III) were administered concomitantly. From these data, the best estimate of a single dose threshold for the sorbitol effect on drug bioavailability is probably around 1 g, affecting all drug BCS classes but mainly low permeability drug substances.

Therefore there is no straightforward answer to this question until more data is collected to determine the actual threshold by exploring sorbitol doses lower than 1.25 g.

The putative effect of sorbitol on GI physiology affecting drug absorption is generally accepted to derive from its osmotic effect, accelerating intestinal transit and increasing intestinal water content. The first effect suggests a higher impact on the absorption of low permeability drugs. The latter can lower the diffusion driving force due to dilution, affecting all drug BCS classes.

Therefore any correlation of sorbitol absorption effect with solubility or permeability is in principle difficult to establish.

It also needs to be recognized that sorbitol intolerance is largely described in the literature6,7. This means that a dose effect relationship cannot be established universally due to individual susceptibility. Even minute amounts of sorbitol can elicit a GI effect in a sub-population.

Consistently with these results, the Guideline on the investigation of bioequivalence (CPMP/EWP/QWP/1401/98 Rev. 1) states in Appendix II, Oral solutions:

“If the test product is an aqueous oral solution at time of administration and contains an active substance in the same concentration as an approved oral solution, bioequivalence studies may be waived. However if the excipients may affect gastrointestinal transit (e.g. sorbitol, mannitol, etc.), […], a bioequivalence study should be conducted, unless the differences in the amounts of these excipients can be adequately justified by reference to other data. The same requirements for similarity in excipients apply for oral solutions as for Biowaivers (see Appendix III, Section IV.2 Excipients).”

Further recommendations in Appendix III, section IV.2 on excipients state: “As a general rule, for both BCS-class I and III drug substances […] Excipients that might affect bioavailability should be qualitatively and quantitatively the same in the test product and the reference product.”

Therefore, strict compliance with the Guideline on the investigation of bioequivalence is recommended to be followed in the development and assessment of generic applications.

Sorbitol intolerance should be taken into consideration in the labeling of sorbitol containing drug products.

References

  1. Chen, M., Straughn, A., Sadrieh, N. et al (2007). A Modern View of Excipient Effects on Bioequivalence: Case Study of Sorbitol. Pharm. Res. 24, 73-80.
  2. R. Fassihi, R. Dowse S. S. D. Robertson (1991). Influence of Sorbitol Solution on the Bioavailability of Theophylline. Int. J. Pharm. 72:175-178
  3. D. A. Adkin, S. S. Davis, R. A. Sparrow, P. D. Huckle, A. J. Philips I. R. Wilding (1995). The Effects of Pharmaceutical Excipients on Small Intestinal Transit. Br. J. Clin. Pharmacol. 39:381-387
  4. D. A. Adkin, S. S. Davis, R. A. Sparrow, P. D. Huckle I. R. Wilding (1995). The Effect of Mannitol on the Oral Bioavailability of Cimetidine. J. Pharm. Sci. 84:1405-1409
  5. S. van Os, M. Relleke P.M. Piniella (2007) Lack of Bioequivalence between Generic Risperidone Oral Solution and Originator Risperidone Tablets. Int. J. Clin. Pharmacol., 45: 293-299
  6. Born P. (2011) The clinical impact of carbohydrate malabsorption. Arab J Gastroenterol. 12(1):1-4
  7. Fernández-Bañares F, Esteve M Viver J.M. (2009)Fructose-sorbitol malabsorption. Curr Gastroenterol Rep. 11(5):368-74.

Biowaiver of additional strength should be applied only when the test product have shown bioequivalence to the reference product by means of an in vivo bioequivalence study.

Discussion

Bioequivalence is in principle demonstrated by means of in vivo bioavailability studies. These in vivo studies can be waived if the product fulfils the requirements defined in surrogate tests like the BCS biowaiver approach.

This is in accordance with the Guideline on the investigation of bioequivalence (CPMP/EWP/QWP/1401/98 Rev. 1/ Corr) which states in this respect that: “The BCS (Biopharmaceutics Classification System)-based biowaiver approach is meant to reduce in vivo bioequivalence studies, i.e., it may represent a surrogate for in vivo bioequivalence. In vivo bioequivalence studies may be exempted if an assumption of equivalence in in vivo performance can be justified by satisfactory in vitro data”.

An additional strength biowaiver is a waiver designed to avoid repeating the same in vivo study at the other strength level. Hence, when the Guideline on the Investigation of Bioequivalence (CPMP/EWP/QWP/1401/98 Rev. 1/ Corr) states that: “If bioequivalence has been demonstrated at the strength(s) that are most sensitive to detect a potential difference between products, in vivo bioequivalence studies for the other strength(s) can be waived”, this implies that when bioequivalence has been demonstrated in vivo for the test product, in vivo bioequivalence studies for the other strength can be waived.

Indeed, the reference in the sentence above to the sensitivity to detect differences between test and reference products only makes sense in the case of in vivo comparisons. This sensitivity varies depending on the solubility and the pharmacokinetic linearity. In the case of highly soluble drugs, the only drugs for which a BCS biowaiver is acceptable, the sensitivity to detect differences in vitro is the same at all strengths. Thus, the reference to higher sensitivity at the highest strength refers to in vivo studies. Further, the different sensitivities arising from non-linear pharmacokinetics only apply to in vivo studies. Therefore, the intent of this text was to refer to in vivo studies as evidence of bioequivalence.

Background

The Guideline on the investigation of bioequivalence (CPMP/EWP/QWP/1401/98 Rev. 1/ Corr) states that: “If bioequivalence has been demonstrated at the strength(s) that are most sensitive to detect a potential difference between products, in vivo bioequivalence studies for the other strength(s) can be waived.”

The PKWP was asked to comment on the acceptability of this approach when the bioequivalence of the “reference” strength to the reference product has been investigated using the BCS (Biopharmaceutics Classification System)-based biowaiver approach i.e., without an in vivo bioequivalence study.

Conceptually, bioequivalence investigates whether two products exhibit comparable in vivo release from the formulation and therefore they exhibit similar bioavailability. Consequently, oral solutions may be considered less critical particularly in the case of aqueous solutions containing completely solubilized active substances, because neither the manufacturing process nor the formulation affects drug release and the formulation impact on absorption should be minimal. However, excipients might impact the bioavailability in different, not necessarily foreseeable ways, since systematic investigations of specific excipients are rarely available and in general, in vivo susceptibility of active substances towards excipient effects seems to be different.

The guideline paragraph under discussion specifically indicates certain 'critical excipients' known to potentially affect in vivo bioavailability, by means of in vitro and/or in vivo interactions. In addition, the last sentence including the reference to Appendix III defines that similarity of excipients should be handled according to requirements specified for BCS-based biowaivers. Consequently, differences in excipients could be handled more flexible with BCS class 1 drug substances, but qualitative similarity and very close quantitative similarity of excipients is expected in the case of BCS class 3 drug substances.

This is considered justified because the scientific rationale regarding the potential interaction between highly soluble drug substances (BCS class 1 or 3) and excipients, likewise applies to drug substances already in solution and immediate release formulations (rapid or very rapid in-vitro dissolution).

For clarification, the evaluation and comparison of excipients of solutions containing BCS class 2 and BCS class 4 drug substances, should be handled according to BCS 3 requirements. Of note, non-relevant excipients, e.g. colorants, flavours, buffers, are not considered relevant in this context.

In conclusion, the current guideline indicates the relevance of section IV.2 in Appendix III for oral solutions (Appendix II) and the drug substance BCS class should be considered accordingly, unless deviating from this general requirement can be adequately justified by reference to other data.

PKWP Answer

In case of an application of fixed combinations (FCs) that consists of multiple strengths, a biowaiver for additional strengths may be applied. The Guideline on the investigation of bioequivalence (Rev.1) (CPMP/EWP/QWP/1401/98 Rev.1) indicates in section 4.1.6. “c) the composition of the strengths is quantitatively proportional, i.e. the ratio between the amount of each excipient to the amount of active substance(s) is the same for all strengths”. However, deviations from the quantitatively proportional composition are still considered acceptable if (i) the amount of the active substance(s) is less than 5% of the tablet core weight, the weight of the capsule content and, at the same time, (ii) the amounts of the different core excipients or capsule content are the same for the concerned strengths and only the amount of active substance is changed, or alternatively, (iii) the amount of a filler is changed to account for the change in amount of active substance and the amounts of other core excipients or capsule content should be the same for the concerned strengths. In addition, for FCs, this guideline section states that “The conditions regarding proportional composition should be fulfilled for all active substances of fixed combinations. When considering the amount of each active substance in a fixed combination the other active substance(s) can be considered as excipients. In the case of bilayer tablets, each layer may be considered independently”. It appears that these rules are being interpreted in different ways. To clarify what is meant, the rules are explained by several examples (see below).

In these examples strength 1 is considered the most sensitive strength used in the bioequivalence study and strength 2 the additional strength for which a biowaiver is requested. Regarding the excipients, these are shown as the filler and all other excipients. For the additional strengths, each individual excipient, included in “all other excipients” follows the proportionality rules, where applicable, as indicated in section 4.1.6 c) of the guideline. Although for immediate release products, coating components, capsule shell, colour agents and flavours are not required to follow this rule. Furthermore, it is assumed that the combinations are not bilayer tablets.

Example 1:

  Strength 1 (mg) Strength 2 (mg)
Active substance A 320 160
Active substance B 25 12.5
Filler 200 100
All other excipients 50 25
Total core weight 595 297.5

Strength 2 is fully dose proportional with strength 1, i.e. similar qualitative and quantitative proportional composition, and a waiver can be applied in accordance to bullet point c) of section 4.1.6 of the guideline on the investigation of bioequivalence.

Example 2:

  Strength 1 (mg) Strength 2 (mg)
Active substance A 320 320
Active substance B 25 12.5
Filler 200 212.5
All other excipients 50 50
Total core weight 595 595

The amount of the changed active substance B is less than 5% of the core weight. According to the FC rule, the other active substance, in this case active substance A, can be considered as an excipient (filler).

Strength 2 is developed by keeping the amount of all excipients constant and only the amount of filler can be changed to compensate for the difference in the amount of active substance B to obtain the same total weight in both strengths. This approach is only acceptable when the active substance represents less than 5% of the tablet core or capsule content (the 5% rule, according to bullet point c) i) and iii) of section 4.1.6 of the guideline on the investigation of bioequivalence).

When considering active substance A, the amount of this active substance is not changed between strengths 1 and 2, but active substance B, in this situation considered an excipient, is not constant; the ratio between excipient B and the active substance A is not the same for both strengths. However, this is considered acceptable because active substance B in this case is considered as a filler and its change represents less than 5% of the tablet core or capsule content, which is compensated by the addition of the same amount of an actual filler of the formulation. Hence, the ratio between active substance A and ‘filler’ (filler + active substance B) is the same for both strengths.

Example 3:

  Strength 1 (mg) Strength 2 (mg)
Active substance A 320 320
Active substance B 25 12.5
Filler 200 200
All other excipients 50 50
Total core weight 595 582.5

This scenario is similar to the previous scenario (example 2). The only difference is that filler of the formulation is not used to compensate for the difference in the amount of active substance B between strengths 1 and 2.

The amount of the changed active substance B is less than 5% of the core weight. According to the FC rule, the other active substance, in this case active substance A, can be considered as an excipient (filler).

Strength 2 is developed by keeping the amount of all excipients constant, without compensation for the difference in the amount of active substance B. This approach is only acceptable when the active substance represents less than 5% of the tablet core or capsule content (the 5% rule, according to bullet point c) i) and ii) of section 4.1.6 of the guideline on the investigation of bioequivalence).

When considering active substance A, the amount of this active substance is not changed between strengths 1 and 2, but again active substance B is not constant. However, this is acceptable because active substance B in this case is considered as a filler and its change represents less than 5% of the tablet core or capsule content.

Example 4:

  Strength 1 (mg) Strength 2 (mg)
Active substance A 10 10
Active substance B 10 5
Filler 200 205
All other excipients 50 50
Total core weight 270 270

This scenario is similar to example 2. The filler of the formulation is used to compensate for the difference in the amount of active substance B between strengths 1 and 2. The difference between example 2 and 4 is that in example 2 active substance A represents more than 5% of the tablet core or capsule content, whereas in example 4 active substance A represents less than 5% of the tablet core or capsule content.

The amount of the changed active substance B is less than 5% of the core weight. According to the FC rule, the other active substance, in this case active substance A, can be considered as an excipient (filler).

Strength 2 is developed by keeping the amount of all excipients constant and only the filler can be changed to compensate for the difference in the amount of active substance B to obtain the same total weight in both strengths (according to bullet point c) i) and iii) of section 4.1.6 of the guideline on the investigation of bioequivalence). This approach is only acceptable when the active substance, whose amount is changed, represents less than 5% of the tablet core or capsule content (the 5% rule). This rule applies independently of whether the amount of active substance A, whose amount is not changed, is less or more than 5% of the core weight.

Example 5:

  Strength 1 (mg) Strength 2 (mg)
Active substance A 320 160
Active substance B 10 10
Filler 200 100
All other excipients 50 25
Total core weight 580 295

In this case the formulation is developed by changing the amount of the excipients in the same proportion as the change in active substance A, although the amount of active substance B is kept constant. The amount of the changed active substance A is more than 5% of the core weight, so the 5% rule does not apply. At the same time, the proportionality rule is not fulfilled because strength 1 and 2 are not completely proportional, since active substance B is not proportional, and a waiver cannot be applied.

Example 6:

  Strength 1 (mg) Strength 2 (mg)
Active substance A 320 320
Active substance B 25 12.5
Active substance C 10 10
Filler 200 212.5
All other excipients 50 50
Total core weight 605 605

In this case the FC contains 3 active substances, where only the amount of one active substance changes in the additional strength.

The amount of the changed active substance B is less than 5% of the core weight. According to the FC rule, the other active substances, in this case active substance A and C, can be considered as excipients (fillers).

Strength 2 is developed by keeping the amount of all excipients constant and only the filler can be changed to compensate for the difference in the amount of active substance B to obtain the same total weight in both strengths (according to bullet point c) i) and iii) of section 4.1.6 of the guideline on the investigation of bioequivalence). This approach is only acceptable when the changing active substance represents less than 5% of the tablet core or capsule content (the 5% rule). This 5% rule is independent of the amount or percentage of the core weight of the active substances A and C, whose amounts do not change between strengths 1 and 2.

Example 7:

  Strength 1 (mg) Strength 2 (mg)
Active substance A 320 320
Active substance B 25 12.5
Active substance C 10 5
Filler 200 217.5
All other excipients 50 50
Total core weight 605 605

In this case the FC contains 3 active substances, where the amount of two active substances changes in the additional strength.

The amounts of the changed individual active substances B and C each are less than 5% of the core weight when assessed individually. However, when assessed globally, the total amount of active substances B and C (i.e. 35 mg) represents more than 5% of the tablet core or capsule content (5.8%), therefore the 5% rule does not apply and this waiver is not acceptable.

When considering active substance A, the amount of this active substance is not changed between strengths 1 and 2, but active substances B and C are not constant. In this case, this is not acceptable, because, when combined, this change in active substances B and C represent more than 5% of the tablet core or capsule content. However, if they had represented less than 5% of the tablet core or capsule content, it would have been acceptable.

PKWP Answer

For fixed combinations (FCs) that consist of multiple strengths, small differences in proportionality of compositions may preclude the waiver of the additional strength and result in the request of an additional in vivo bioequivalence study. However, in the case that all the active substances in the FC belong to BCS Class I or III drugs (highly soluble active substances), the risk of non-bioequivalent additional strength formulations is negligible, if the conditions below are fulfilled.

Therefore, a waiver for additional strengths is acceptable even though the additional strengths deviate from proportionality in composition, if all the following conditions are met:

  • all the active substances in the FC are BCS Class I or III drugs
  • bioequivalence has been shown with the most sensitive strength
  • the additional strength is manufactured by the same manufacturing process
  • the additional strength has the same qualitatively composition
  • the additional strength exhibits similar dissolution profiles
  • the amount of the active substance(s) that deviates from proportionality is less than 5% of the tablet core weight or the weight of the capsule, both for the strength used in the bioequivalence study and the strength(s) for which a waiver is considered (Ref: Guideline on the investigation of bioequivalence (CPMP/EWP/QWP/1401/98 Rev. 1/ Corr **) section 1.6. General biowaiver criteria)
  • the difference in amount of the non-proportional active substance is fully compensated by the amount of filler in order to maintain a proportional total weight and the same proportion in all other ingredients, except for the non-proportional active substance(s) and filler.

This is illustrated by the examples below, in which one of the strengths is the strength for which bioequivalence has been proven in accordance with the Guideline on the Investigation of Bioequivalence (CPMP/EWP/QWP/1401/98 Rev. 1/ Corr **). The salt form should be taken into account for the amount of the active substances. Furthermore, it is assumed that the fixed combination formulations are not bilayer tablets, since in that case each layer is assessed separately.

Example 1:

 

Strength 1

(mg)

Proportion relative to core weight (%w/w)

Strength 2

(mg)

Proportion relative to core weight (%w/w)

Active substance A

320

55.17%

160

55.17%

Active substance B

10

1.72%

10

3.45%

Filler

200

34.48%

95

32.76%

All other excipients

50

8.62%

25

8.62%

Total core weight

580

100.0%

290

100.0%

 

Compared to strength 1, strength 2 is developed by changing the amount of the excipients in the same proportion as the change in active substance A, but the amount of active substance B is kept constant. The 5 mg in excess of active substance B with respect to proportionality is compensated by reducing the amount of filler by 5 mg with respect to its proportional amount (i.e. 100 mg) to obtain a dose proportional total tablet core weight or capsule content.

In principle, a waiver cannot be applied. However, if active substance A and B are BCS Class I or III drugs and as the amount of active substance B is less than 5% of the tablet core weight or capsule content (and provided that the other biowaiver criteria are fulfilled), the waiver is considered acceptable. For the assessment of proportionality of composition with respect to active substance A, active substance B is considered as filler. As the deviation from proportionality of active substance B is compensated by the amount of the filler to obtain a dose proportional formulation, strength 1 and strength 2 are considered fully proportional.

For the assessment of active substance B, the excipients, except the filler, and active A, which is considered as another filler for active substance B, are proportional. The difference in the filler is considered negligible as in the case of the 5% rule. While in the 5% rule the drug is changing and the excipients are constant, although a filler can compensate the change in active substance, in this case the excipients are changing, and the active substance is constant. This is considered acceptable, because the excipients are in the same proportion in both strengths and the drugs are highly soluble.

Example 2:

 

Strength 1

(mg)

Proportion relative to core weight (%w/w)

Strength 2

(mg)

Proportion relative to core weight (%w/w)

Active substance A

36

8.57%

18

8.57%

Active substance B

10

2.38%

10

4.76%

Active substance C

24

5.71%

12

5.71%

Filler

200

47.62%

95

45.24%

All other excipients

150

35.71%

75

35.71%

Total core weight

420

100.0%

210

100.0%

 

Compared to strength 1, strength 2 is developed by changing the amount of the excipients in the same proportion as the change in active substance A and C, but the amount of active substance B is kept constant. The 5 mg in excess of active substance B with respect to proportionality is compensated by reducing the amount of filler by 5 mg with respect to its proportional amount (i.e. 100 mg) to obtain a dose proportional total tablet core weight or capsule content.

In principle a waiver cannot be applied. However, if active substance A, B and C are BCS Class I or III drugs and as the amount of active substance B is less than 5% of the tablet core weight or capsule content (and provided that the other biowaiver criteria are fulfilled), the waiver would be considered acceptable as explained in example 1. If two actives substances deviates from proportionality the sum of both should not represent more than 5% of the total tablet core weight or capsule content.

Example 3:

 

Strength 1

(mg)

Proportion relative to core weight (%w/w)

Strength 2

(mg)

Proportion relative to core weight (%w/w)

Strength 3

Proportion relative to core weight (%w/w)

Strength 4

Proportion relative to core weight (%w/w)

Active substance A

1000

70.67

1000

70.67%

850

70.67%

850

70.67%

Active substance B

15

1.06%

5

0.35%

15

1.25%

5

0.42%

Filler

200

14.13%

210

14.84%

167.75

13.95%

177.75

14.78%

All other excipients

200

14.13%

200

14.13%

170

14.13%

170

14.13%

Total core weight

1415

100.0%

1415

100.0%

1202.75

100.0%

1202.75

100.0%

 

Compared to strength 1, strength 2 is developed by only changing the amount of filler to compensate the difference in amount of active substance B (see PKWP Q&A 6.4). As the amount of active substance B is less than 5% of the total core weight, strength 2 can be considered acceptable in line with the 5% rule of the biowaiver criteria in the Guideline on the Investigation of Bioequivalence (CPMP/EWP/QWP/1401/98 Rev. 1/ Corr **) and independently of whether active substance A and B are BCS Class I or III drugs.

Compared to strength 1, strength 3 is developed by changing the amount of the excipients in the same proportion as the change in active substance A. The amount of active substance B is kept constant. Like in example 1, the excess of active substance B with respect to proportionality is compensated by reducing the amount of filler with respect to its proportional amount to obtain a dose proportional total tablet core weight or capsule content.

Compared to strength 1, strength 4 is developed by changing the amount of the excipients in the same proportion as the change in active substance A. Active substance B is changed, i.e. instead of being constant, it is changed but not in the same proportion as active substance A. The deviation from proportionality in active substance B is compensated by changing the amount of filler with respect to its proportional amount to obtain a dose proportional total tablet core weight or capsule content.

The amount of active substance B is less than 5% of the core weight and if active substance A and B are BCS Class I or III drugs, the waiver for these additional strengths would be considered acceptable.

7. Biosimilars

Pharmacokinetics (PK) is an integral part of the biosimilarity assessment. A biosimilar product contains a version of the active substance of an already authorised original product (see 'Guideline on similar biological medicinal products containing biotechnology-derived proteins as active substance: non-clinical and clinical issues - Revision 1' EMEA/CHMP/BMWP/42832/2005 Rev1). This is in contrast to small molecule generics where the active substances are chemically identical and, as such, the disposition of the active substance is the same once the compound is absorbed. For a biologically-derived medical product the comparability assessment is more complex, as not only the absorption but also the disposition (distribution and elimination) can differ for a biosimilar compared to the reference product. Therefore, in the assessment of a biosimilar, the PK comparison should also reflect the distribution and elimination processes (e.g. plasma clearance, volume of distribution, half-life) in addition to the absorption.

Biotechnology-derived proteins can be very different in complexity. For example, when evaluating a well-characterisable polypeptide biosimilar without any post-translational modifications having the same structure as the reference product, the probability of differences in disposition of the active substance is considered to be low. On the other hand, differences in glycan structures of complex biologicals or in pegylation may be more likely to affect distribution or elimination characteristics. 

In summary, the comparability PK study for a biosimilar product is a test of formulations and active substance, in contrast to small molecule generics where the comparison of formulations is sufficient. The role of the comparative PK study in the assessment of biosimilarity is to exclude any relevant PK differences that could indicate presence of structural and/or functional differences that could impact the efficacy, safety or immunogenicity of the product. Following are issues that need to be considered in assessment of biosimilarity.

Pharmacokinetics

Linear clearance. The simplest case is single IV administration of a compound with concentration independent clearance. In this case clearance (CL) is directly reflected by the primary PK parameter AUC(0-inf) when the same dose of the biosimilar and reference product is given. The extrapolation to AUC(0-inf) from AUC(0-t) for substances having linear elimination is straightforward.

Linear clearance + Nonlinear clearance. For therapeutic proteins the total clearance often consists of a linear (nonspecific) clearance and a nonlinear (target mediated) clearance. Clearance may then be dependent on concentration of the compound itself as well as on the concentration of target and thus target dynamics. Target-mediated clearance may not be evident in the therapeutic concentration range due to saturation of the target, but can be observed at low plasma concentrations when the target is not saturated. AUC(0-inf) includes both nonspecific and target-mediated elimination, but non-compartmental analysis (NCA) cannot differentiate between the two elimination pathways. If pharmacokinetics of the biological medical product is characterised by a non-specific and target mediated clearance, partial AUCs reflecting the different elimination pathways or PK modelling may support the assessment of PK similarity between the biosimilar and innovator product. Knowledge regarding any nonlinearity should, in general, be known from the reference product. However, it may be useful to plot individual PK curves for each treatment group to reveal any patterns or trends that could be masked in the mean plasma concentration time curves.

Some complexity is added for subcutaneously (SC) or intramuscularly (IM) administrated products since AUC(0-inf) then reflects CL/F. For SC and IM administrated products Cmax, in addition to AUC(0-inf), is a primary PK parameter for statistical comparison between the biosimilar and reference product.

Anti-drug antibodies

Large variations in PK and nonlinear elimination kinetics can also be caused by an immune response and formation of anti-drug antibodies (ADA) that could increase clearance. If there is a high incidence of ADA formation, it may be useful to visualise the individual PK profiles in subjects with and without ADA. A subgroup analysis of ADA negative and ADA positive subjects comparing PK parameters between treatment groups could be performed if feasible. This analysis should, if possible, be included in the statistical analysis plan.

Batch selection and protein content correction

Representative batches of the biosimilar and innovator product should be used in the comparative PK study and it should be documented how the used batches have been selected. When pre-filled syringes, injection pens, etc. are being used, protein content of the batch, as well as delivered volume, should be considered in selection of the batches. The protein content of the selected biosimilar and reference product batches should be determined beforehand and analysed using the same analytical method. Pre-specified and well-justified protein content adjustment can be acceptable, provided that the difference in delivered dose is not reflecting a consistent difference between the biosimilar and reference product (see 'Guideline on similar biological medicinal products containing biotechnology-derived proteins as active substance: non-clinical and clinical issues - Revision 1' EMEA/CHMP/BMWP/42832/2005 Rev1). Furthermore, proportional adjustment for protein content in case of nonlinear pharmacokinetics should be thoroughly discussed. Alternative methods to ensure delivery of the same protein dose could be considered. For example, the same content of the biosimilar and reference product in prefilled syringes could be transferred into identical syringes, thus avoiding any dose correction due to the device or protein content. Such a solution requires further discussion on potential effects of the devices on the delivered doses, where needed, supported with additional data, e.g. looking for systematic differences in delivered volume, effects of needle size etc., to support that there is no difference in local delivery of the product.

Study Design

Parallel design is often utilised due to long half-life or the risk of an immunogenic response. It is important to scrutinise the pre-specified exclusion criteria for individual PK data and for which PK parameters the criteria are valid. After exclusion of subjects for pre-specified reasons, it should be examined whether the groups are balanced and if not, whether this could affect the results (i.e. discuss the robustness of the results in case the fraction of excluded subjects was large e.g. by PK modelling). If a cross-over design is being used, the length of wash out need to be well supported taking active substance and any PD marker that is measured as study endpoint into account. For comparability reasons, a cross-over study design is preferred as the subject is its own control, however, in case of relevant ADA incidence, appropriateness of cross-over design is generally questioned. Even if ADAs are washed out, an increased sensibility for ADA development is carried over to the second period. Besides ADAs, potential effects on target density should be considered as well. When target-mediated clearance is relevant, any change in target density as a result of treatment could affect clearance and thus contribute to a carry-over effect.

Study population. The selected study population should be justified and the sensitivity for detecting PK differences should be considered when assessing the PK study. The variability is in general less in healthy volunteers and therefore, they are generally acceptable as study population in the PK study. However, it should be considered that the target density may be different in healthy volunteers vs. patients and patients in different therapeutic areas or severity of disease. In case both target mediated and non-target mediated elimination need to be considered, comparable PK should preferably be supported for the predominant (or both) mechanism(s). This could in some cases be handled by dose selection (see below). If not, other supportive data could be collected. This could include partial AUCs under the target mediated elimination phase in the healthy volunteers as well as concentrations measured during the efficacy, safety and/or PD studies. For example, through at different time points during the treatment can be used as a supportive PK parameter. 

Dose level. If possible, the most sensitive dose should be selected to investigate any target mediated clearance. The dose selection is of particular importance when target mediated clearance is expected to be larger in the patient population compared to healthy subjects. In such case a low dose (i.e. assuming target is not saturated) or the lowest recommended therapeutic dose and a high dose, usually the highest recommended therapeutic dose (assuming target is saturated and non-specific CL is dominating), should be considered for PK comparison (see 'Guideline on similar biological medicinal products containing monoclonal antibodies – non-clinical and clinical issues' EMA/CHMP/BMWP/403543/2010).   

Sampling times. It is important to ensure long enough plasma sampling also considering subjects with the longest half-life to avoid large extrapolations when estimating AUC(0-inf). This is particularly important when clearance is nonlinear, which can slightly overestimate AUC(0-inf), as the extrapolation to AUC(0-inf) using non-compartmental analysis assumes linear elimination. An extrapolated AUC of ?20% is considered to be acceptable. In line with the requirements for chemical entities, subjects should not be excluded from the statistical analysis if the extrapolated AUC is >20%. However, if the percentage AUC(0-t) ?80% of AUC(0-inf) in more than 20% of the observations then the validity of the study may need to be discussed.

Statistical Comparison

Acceptance criteria. The acceptance criteria for the main PK parameters should be defined and justified prior to conducting the study based on obtaining a precise quantification of relative exposure and including consideration of differences in those parameters that are unlikely to have any clinically relevant impact on pharmacodynamic response. In the absence of a rigorous clinical justification, acceptance criteria of 80–125% might be used, but this might have consequences for interpretation of trial results (see below).

Analysis. Typically, the comparability of the PK parameters is analysed using ANOVA, which is adequate for the analysis of a cross-over trial. However, for a parallel group study it may be desirable to adjust for baseline characteristics that could affect the PK results (e.g. body weight) and which may be imbalanced between the two treatment arms. Therefore, analysis of comparability of the PK parameters by ANCOVA is acceptable in parallel group studies, provided that the choice of covariates has been justified and this is pre-specified in the statistical analysis plan. It should be noted that this model cannot be used to adjust for any covariates measured after randomisation, such as ADA formation.

Statistically significant difference. As stated in the introduction, the active substance in a biosimilar is not exactly the same as the innovator product and the purpose of the clinical comparability studies is not to show the products are identical, but to exclude an important impact arising from any functional or structural differences compared to the reference product. Therefore, a biosimilar product should be considered to be acceptably similar to the reference product in terms of PK if the 90%-CIs for the primary PK parameters are contained within the pre-specified and justified acceptance limits. In the absence of rigorous and acceptable justification for the pre-specified acceptance criteria and, in particular where 80–125% is chosen rather arbitrarily, a point estimate or substantive part of the confidence interval lying towards the extremes of the acceptance criteria will require further discussion.  This includes instances where unity is excluded from the 90% CI. Specifically, results should be explained and justified in the context of evidence for similarity coming from other comparative studies/assays within the development programme. 

If the 90%-CIs for the primary PK parameters are not contained completely within the pre-specified acceptance limits, a root cause analysis should be initiated. Findings from the root cause analysis should be reflected in the planning and conduct of any subsequent PK study, but any changes to the design should not compromise the sensitivity of the study to detect differences if they exist. Even in the presence of identified root causes, it is very important for assessment to understand why the evidence of failed PK comparability can be disregarded with plausibility.

In case uncertainties concerning root causes remain, or if no causes could be identified, assessment of PK similarity should be based on results from both the original and subsequent PK studies. The existence of a study which demonstrates biosimilarity does not mean that those which do not can be ignored. It should be thoroughly discussed and justified that the biosimilarity claim has been demonstrated overall, and that the evidence from the positive study or studies is sufficient to dominate the results from those that were not. Where relevant, a combined analysis of all studies can be provided in addition to the individual study analyses as part of this justification. It is not acceptable to pool together several negative studies to justify PK biosimilarity in the absence of a study that is positive alone.

Limitations of the PK study

It is important to be aware that the comparative PK study cannot be used to outweigh substantial differences in quality, non-clinical or efficacy and safety studies. The results of the PK investigations should always be interpreted and weighed in the context of all other data. The extent to which potential differences in disposition between biosimilar and reference product could occur depends on the nature of the molecular differences between both products. It is therefore important to consider also the quality characteristics and data on binding properties when judging the likelihood of potential pharmacokinetic differences.

8. Modified release products

Appendix I of the Guideline on the pharmacokinetic and clinical evaluation of modified release dosage forms (EMA/CPMP/EWP/280/96 Corr1) defines the situations where skin irritation and sensitisation should be assessed for transdermal products and recommends study designs and scoring systems that can be used accordingly.

These general requirements of Appendix I remain valid, however, this Q A has been developed to clarify aspects of study designs and scoring systems to reflect the evolving scientific knowledge on the topic as follows:

  1. The Appendix suggests one overall study design and it is now emphasised that this design is likely to need adoption to the particular question(s) to be addressed regarding e.g. specific formulation characteristics, differences in composition as compared to the innovator and intended dosing intervals.
  2. Due to scientific and ethical reasons sensitisation testing by means of the human repeat insult patch test as described should be conducted in exceptional cases only as subjects might unnecessarily be sensitised and the sample size may not include sensitive subjects (i.e. individuals that would actually react).
  3. As examinations of skin reactions is highly subjective this should be done by trained and experienced persons blinded to the treatment.
  4. Other numerical scores than the dermal response (Table 1) and other effect (Table 2) scores that are currently presented in the Appendix have been found to be more appropriate (e.g. for Table 1, 'definite oedema' does not happen in isolation to 'erythema' and 'papules'. For Table 2, the use of the term 'glazing' is deemed more likely with cosmetics rather than transdermal patches). The following scores may therefore be considered as possible alternate examples, but it is acknowledged that still others are available in the literature and the choice of score should be appropriately justified:

Table 1: Seven-point dermal response scale*

0 no reaction
1 minimal (barely perceptible) erythema
2 mild but well defined erythema only
3 moderate erythema only or mild erythema plus edema and/or papules
4 severe erythema only or moderate erythema plus edema and/or papules
5 severe erythema plus edema and/papules or any vesicular reaction
6 bullous reaction or any grade 3 – 5 skin reactions that spread beyond the patch site

*Robinson, M. K. (2001), Intra?individual variations in acute and cumulative skin irritation responses. Contact Dermatitis, 45: 75-83. doi:10.1034/j.1600-0536.2001.045002075.x

Table 2: Sensitisation score to assess allergic reactions (in line with the German Contact Dermatitis Group)*

0 no reaction
0.5 erythema no infiltration
1 erythema, infiltration, discrete papules
2 erythema, infiltration, papules, vesicles
3 erythema, infiltration, confluent vesicles

*German Contact Dermatitis Group (Schnuch A, Aberer W, Agathos M, Becker D, Brasch J, Elsner P, Frosch PJ, Fuchs T, Geier J, Hillen U,Loeffler H, Mahler V, Richter G, Szliska C, fuer die Deutsche Kontaktallergie?Gruppe (2007) LEITLINIEN DER DEUTSCHEN DERMATOLOGISCHEN GESELLSCHAFT (DDG) UND DER DEUTSCHEN GESELLSCHAFT FUER ALLERGIE? UND KLINISCHE IMMUNOLOGIE (DGAKI) ZUR DURCHFUEHRUNG DES EPIKUTANTESTS MIT KONTAKTALLERGENEN; issued 14.11.1998, updated 4.5.2007)

In conclusion, applicants are advised to use Appendix I and this QA to address sensitisation and irritation testing of transdermal patches carefully, taking account of product characteristics and based on current knowledge.

9. Well-established use

1.1. Introduction

This guidance is aimed at further clarifying the requirements for bridging data in the context of well-established use (WEU) applications, i.e. when an active ingredient of a medicinal product has been in well-established use for at least 10 years within the Union with a recognized efficacy and an acceptable level of safety. This should be read in conjunction with Annex I (Part II.1) of Directive 2001/83/EC and the Notice to Applicants Volume 2A - Chapter 1 ‘Marketing Authorisation’.

Pre-clinical and clinical documentation for WEU marketing authorisation (MA) applications is based on results from the scientific literature. As outlined in Part II of the Directive´s Annex I, bridging data should be provided to justify that the data from the scientific literature, presented to support safety and efficacy of the active substance(s), are relevant for the medicinal product in the application: “The non-clinical and/or clinical overviews must explain the relevance of any data submitted which concern a product different from the product intended for marketing. A judgement must be made whether the product studied can be considered as similar to the product, for which application for a marketing authorization has been made in spite of the existing differences.

In drafting the present guidance, the experience acquired with previous assessments of WEU MA applications was taken into consideration. The guidance aims to support Applicants in preparing these applications and facilitate predictable and scientifically robust assessment. It is highlighted that the relevance of data provided to establish the bridge in the context of WEU applications is a matter of scientific assessment by the relevant competent authority assessing the application.

It is important to bear in mind that applications according to Article 10a of Directive 2001/83/EC are acceptable only in so far as the published scientific literature is relevant and sufficient to demonstrate the safety and efficacy profile of the medicinal product in the proposed therapeutic indication that is the object of the application. Alternative legal basis should be considered in case the applicant intends to include own clinical or pre-clinical data (with the exception of relative bioavailability data). WEU applications are not an alternative to other legal bases such as Article 10(1) and 10(3) of Directive 2001/83/EC, but the principles regarding the scientific requirements for bridging between the relevant formulations shall remain the same.

Because the safety and efficacy profile of biological medicinal products is determined by the manufacturing process and the starting materials, it is unlikely that only literature data would be sufficient to establish that the pertaining active substances do not significantly differ in terms of safety and/or efficacy. As a consequence, it is difficult to demonstrate that the product applied for is sufficiently similar to the one(s) used in the literature. Alternative appropriate legal basis should be considered for applications for biologicals.

Although there are no restrictions regarding dosage forms being within the scope of a WEU application, bridging of products that have modified release characteristics or which are topical/transdermal formulations may be particularly challenging. The Applicant should either demonstrate that the products studied in literature are identical to the Applicant’s product or provide adequate bridging data in line with applicable guidelines (see Section 1.2.2).

Literature from outside the EU can be used to support the safety and efficacy profile. However, the Applicant should also place special emphasis on the possibility of bridging to other EU products containing the same constituents. It is reminded that the Applicant has to demonstrate that the active substance has been in well-established use in the Union for at least 10 years.

1.2. Bridging requirements

1.2.1. What to bridge to (what to compare)?

In the context of a WEU application, although those applications are self-standing contrary to abridged applications such as generics, hybrids or biosimilars that refer to a reference medicinal product, a bridging exercise between the medicinal product applied for and the product(s) used in the scientific literature must be conducted to demonstrate that any cited literature data in support of efficacy and safety is relevant to the specific medicinal product applied for. Therefore, it is essential that the Applicant identifies which product(s) are used in the studies in support of efficacy and safety and whether these are still available on the market.

The Applicant should submit summary tabulated data to facilitate the assessment with at least the following details (to be placed in Module 2.5, heading Overview of biopharmaceutics):

  • Comprehensive information on the exact product(s) (formulation(s)) that have been used in the efficacy and safety studies referred to in the literature, including detailed information on which aspects (efficacy/safety, proposed indications) of the dossier should be covered by these studies. If information on the formulation(s) that have been used is not available, this should be stated. In such case, a general overview of all available and used formulations over time may be helpful. Details of these study results need not be part of the table but should be provided elsewhere in the dossier. Efficacy and safety studies that are considered particularly relevant (i.e. pivotal) should be highlighted.
  • A justification for the bridge to support a judgement being made on whether the product(s) studied in the literature can be considered as similar to the product for which an application for a marketing authorization is being made.
  • Which scientific literature is considered pivotal with respect to the demonstration of efficacy and safety for the application made. In cases when no pivotal literature is available, or can be identified, other literature may be acceptable when adequately justified. Combined information from multiple studies is likely needed to reasonably support efficacy and safety as an overarching assessment.

If the benefit-risk balance is based on multiple literature studies including different products per indication applied for, bridging data for each indication is preferred. If sufficiently justified, bridging only to the indication with the most evidence and/or with clearly identified pivotal studies could also be an option, e.g. when the mode of action is the same for all indications claimed. Alternatively, the Applicant could use a bracketing approach to claim that the applied product is in between the products described in the literature. Ultimately, this will be a case-by-case approach, which requires sound scientific justification.

1.2.2. How to form the bridge?

As a general statement, the applicable guidelines should be followed depending on the product; e.g., for systemically acting products: EMA Guideline on the investigation of bioequivalence (CPMP/EWP/QWP/1401/98 Rev 1/Corr), ICH M13A Guideline on bioequivalence for immediate-release solid oral dosage forms (EMA/CHMP/ICH/953493/2022), ICH M9 Guideline on biopharmaceutics classification system based biowaivers (EMA/CHMP/ICH/493213/2018), EMA Guideline on the pharmacokinetic and clinical evaluation of modified release dosage forms (EMA/CPMP/EWP/280/96 Corr1), and relevant EMA product-specific bioequivalence guidelines.

Furthermore, bridging focusses on the formulation and absorption aspects as the distribution and elimination properties tend to be independent from the formulation for IR products. For modified release products providing adequate bridging data within a WEU application will be more difficult unless products can be shown to be identical or comparative bioavailability (PK) data are submitted.

Depending on the information in the literature, several scenarios can be distinguished:

  • If pivotal literature data are obtained with one single product, the Applicant would normally need to provide adequate bridging data to this product conforming with the requirements for generic applications.
  • If no comprehensive set of pivotal studies can be identified in the literature, efficacy and safety will mostly be based on an overarching assessment of all potentially relevant literature. For some active substances, there are many different products/formulations included in the pivotal literature. In both cases, an overview can be made of the range of formulations used, based on release characteristics, BCS class, formulation type, excipients, regimen, etc., (“formulation space”). A bracketing approach to claim that the applied product is in between the products described in the literature may be possible. Then there may not be a need for strict bioavailability data compared to a specific product since efficacy and safety has been demonstrated for many different products/formulations. This decision must, however, still take account of individual differences for the product applied for compared to other products as described in the provided literature (see also Section 1.2.2.2. ).
  • None of the products from the pivotal efficacy and safety studies can be identified. On a case-by-case basis, it may be considered to request the authors from a specific publication for the product information. If no product can be identified, in general this would mean that no bridge can be made, and another application procedure should be considered. An exemption might be made for solutions without excipients that affect the disposition, e.g. for aqueous solutions for intravenous administration.
  • The product that has been used in the pivotal studies is not available anymore. A direct bridge is not possible, and an indirect bridging may be possible, if scientifically justified. Other products from the market may be selected, but selection criteria must be clear (e.g. on use in Europe) and those products should be shown to be representative for the product(s) studied in literature.

For bridging to the product described in the literature, a tabular overview of the formulations and an excipient comparison needs to be presented. Further, the characteristics of the active substance (e.g. hydrate/solvate, polymorphic form, solubility) and type of formulation(s) (e.g. solution, immediate release (IR) solid formulation) and route of administration (e.g. oral, parenteral) should be presented. Also, the therapeutic window of the product should be discussed.

The requirements for bridging data to support “similarity” may vary depending on how critical it is to demonstrate similar bioavailability between the product applied for and the products studied in the literature and will be further discussed in the next sections. Bridging is generally based on one or more of the following:

  • comparison of qualitative and quantitative composition of the product;
  • comparison of critical quality attributes;
  • comparative in vitro dissolution data;
  • comparison of physico-chemical properties;
  • comparative in vitro release or permeation tests in case of a locally applied locally acting product;
  • comparative bioavailability (PK) studies;
  • clinical justification for the lack of comparative bioavailability studies.

1.2.2.1. Similar bioavailability considered critical

For most drug products, demonstration of similar bioavailability is considered critical; exceptions are mentioned in the next section. It should be demonstrated that any differences in formulation between the product(s) studied and the product applied for do not affect efficacy or limit extrapolation of safety data in all cases.

For IR solid oral dosage forms with systemic action with BCS Class I and III substances, bridging data may be in vitro comparative dissolution data generated by the Applicant between products used in the literature and the product applied for, in line with ICH M9 Guideline on biopharmaceutics classification system based biowaivers (EMA/CHMP/ICH/493213/2018). Similarly, for oral solutions and parental solutions, if criteria for biowaiver are fulfilled, this should be considered as a sufficient bridge.

In case in vitro similarity may not replace a PK bridge, like for BCS Class II and BCS Class IV active substances, or BCS Class I or BCS Class III substance with a different pharmaceutical form than that used in the literature, or the criteria for an in vitro waiver are not met, a clinical comparative bioavailability (PK) study should be conducted with reference to the relevant literature product(s) according to the relevant guidelines. This study should show comparable PK, i.e. similar bioavailability. Wider acceptance ranges than 80-125% may be acceptable, when justified a priori using the submitted literature efficacy and safety studies.

For products that are locally applied and locally acting (LALA), similarity based on in vitro data is commonly an effective bridge. There are, however, cases for such products where PK data may be needed for bridging of LALA products. Reference is made to relevant guidelines for locally applied, locally acting products (e.g., EMA Guideline on equivalence studies for the demonstration of therapeutic equivalence for locally applied, locally acting products in the gastrointestinal tract (CPMP/EWP/239/95 Rev. 1, Corr.1*) and associated decision trees, EMA Guideline on the requirements for clinical documentation for orally inhaled products (OIP) (CPMP/EWP/4151/00 Rev. 1) and Guideline on quality and equivalence of locally applied, locally acting cutaneous products (EMA/CHMP/QWP/708282/2018)).

1.2.2.2. Similar bioavailability considered less critical

For certain products, for example, for some orally administered products that contain substances that occur endogenously (vitamins, calcium, iron), it is not feasible to determine bioavailability as the uptake of many of these substances is regulated by homeostatic mechanisms. However, the exact bioavailability is often not relevant for their therapeutic use, and this can be taken into account in the bridging requirements. In such cases, the formulation should be shown to be sufficiently similar to the formulations used in the literature (within the formulation space) with a relevant quality attribute measured.

This could also be applicable when the Applicant can show that there are many different formulations with comparable efficacy and safety, so no different efficacy or safety is expected for the product applied for without having to fulfil specific bracketing requirements.

Examples of justifications/criteria that have been taken into account for such an approach to bridging are (often in combination):

  • Wide therapeutic index;
  • Many different formulations or dose regimens have been shown to be effective in the indication(s) applied for and so are supported by a large volume of literature;
  • Dose individually titrated based on efficacy and safety with wide dose ranges e.g. digestive enzymes;
  • Bioavailability difficult to be exactly determined, e.g. for endogenous substances whose levels are regulated by homeostatic mechanisms;
  • Substitution therapy aiming (long-term) to build up body depots of e.g. vitamins;
  • Other sources like food and sunlight leading to variation in daily exposure to drug substance.

An update log is available to show the date and summary of changes to this webpage. It does not include updates to linked documents or minor edits like typos or broken link fixes.

The tracking of updates begins in March 2026.

17 March 2026

Question 4.16 added

Share this page